ГОСТ 32494-2021 Здания и сооружения. Метод математического моделирования температурно-влажностного режима ограждающих конструкций
ГОСТ
Скачать ГОСТ в PDF или DOC бесплатно
Основная информация
Обозначение:
ГОСТ 32494-2021
Статус:
Действует
Тип:
ГОСТ
Название русское:
Здания и сооружения. Метод математического моделирования температурно-влажностного режима ограждающих конструкций
Название английское:
Buildings and constructions. The method of mathematic simulation of temperature and humidity conditions of protecting designs
Даты и сроки
Дата регистрации:
12-09-21
Дата издания:
01-17-22
Дата введения в действие:
09-01-22
Дата завершения срока действия:
-
Применение и описание
Область и условия применения:
Настоящий стандарт распространяется на ограждающие конструкции зданий и сооружений и устанавливает метод математического моделирования температурно-влажностного режима ограждающих конструкций при нестационарных условиях эксплуатации
Связи и замены
Заменяющий:
-
Взамен:
ГОСТ 32494-2013
Описание стандарта
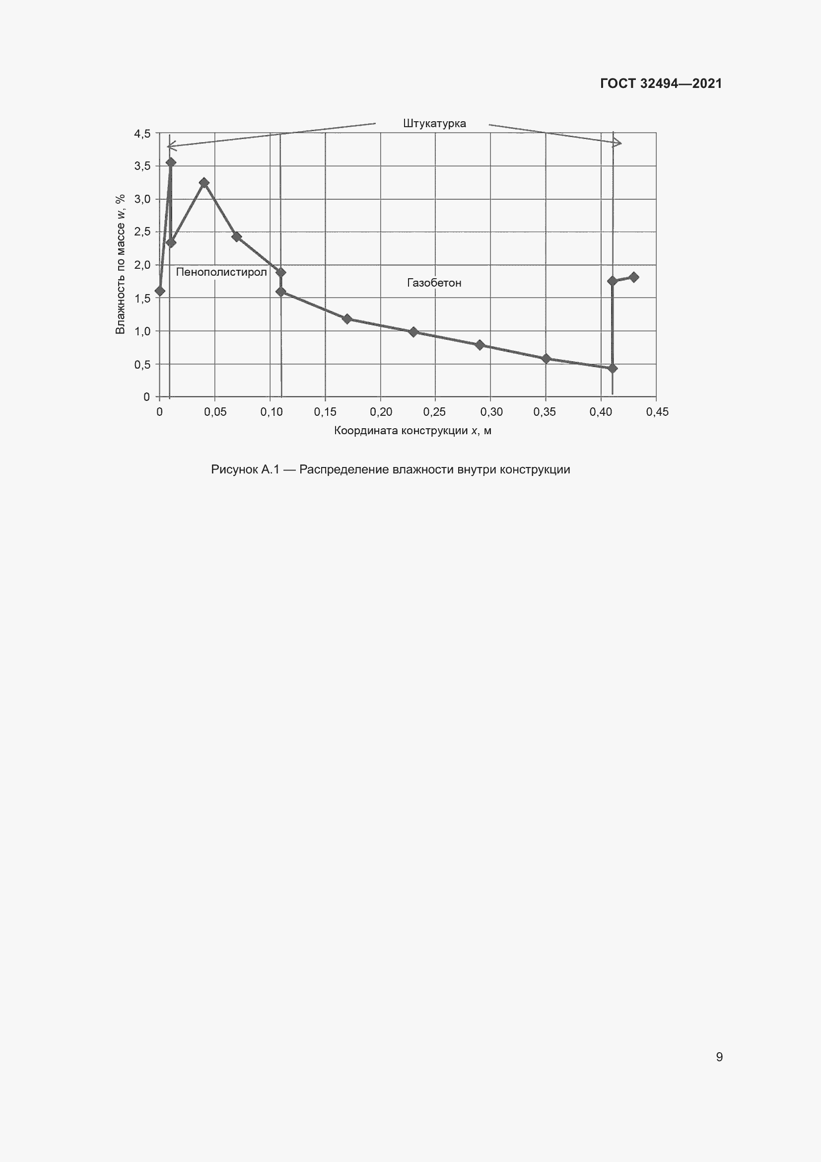
ГОСТ 32494-2021 Здания и сооружения. Метод математического моделирования температурно-влажностного режима ограждающих конструкций
Страницы стандарта

















Приложение №1: Поправка к ГОСТ 32494-2021 Обозначение: Поправка к ГОСТ 32494-2021 Дата введения в действие: 20.04.2022
