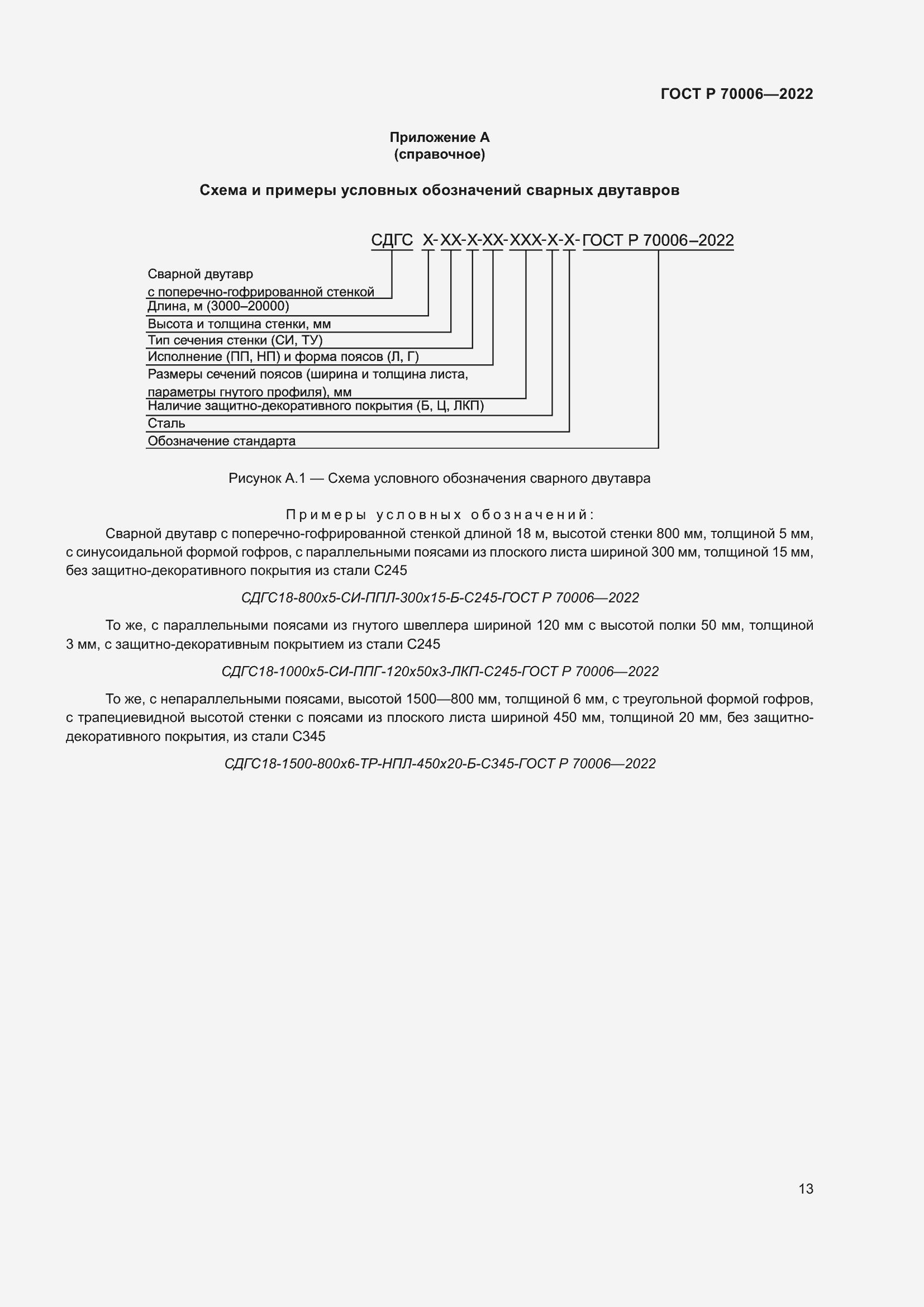
ГОСТ Р 70006-2022 Двутавры стальные сварные с поперечно-гофрированной стенкой для строительных конструкций. Технические условия
ГОСТ Р
Скачать ГОСТ в PDF или DOC бесплатно
Основная информация
Обозначение:
ГОСТ Р 70006-2022
Статус:
Действует
Тип:
ГОСТ Р
Название русское:
Двутавры стальные сварные с поперечно-гофрированной стенкой для строительных конструкций. Технические условия
Название английское:
I-beam steel structures with transverse corrugated walls. Specifications
Даты и сроки
Дата издания:
02-22-22
Дата введения в действие:
09-01-22
Дата завершения срока действия:
-
Применение и описание
Область и условия применения:
Настоящий стандарт распространяется на стальные сварные двутавры с поперечно-гофрированными стенками (далее – сварные двутавры) для строительных конструкций и устанавливает требования к их изготовлению. Настоящий стандарт предназначен для применения сварных двутавров в несущих конструкциях каркасов, перекрытий и покрытий вновь строящихся и реконструируемых зданий и сооружений любого уровня ответственности во всех климатических районах Российской Федерации
Связи и замены
Заменяющий:
-
Описание стандарта
ГОСТ Р 70006-2022 Двутавры стальные сварные с поперечно-гофрированной стенкой для строительных конструкций. Технические условия
Страницы стандарта



















