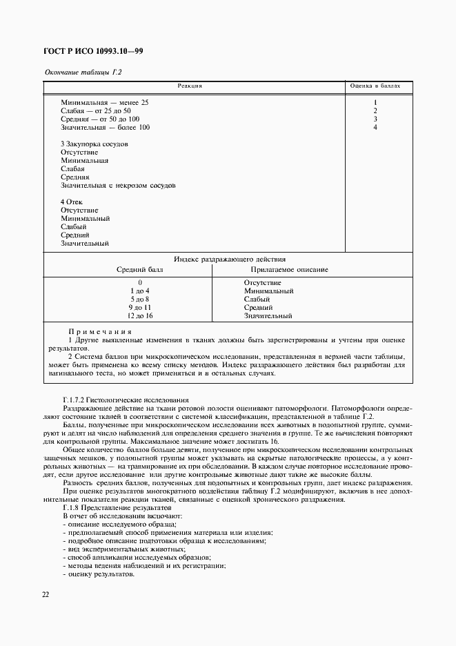
ГОСТ Р ИСО 10993.10-99 Изделия медицинские. Оценка биологического действия медицинских изделий. Часть 10. Исследование раздражающего и сенсибилизирующего действия
ГОСТ Р ИСО
Скачать ГОСТ в PDF или DOC бесплатно
Основная информация
Обозначение:
ГОСТ Р ИСО 10993.10-99
Статус:
Заменен
Тип:
ГОСТ Р ИСО
Название русское:
Изделия медицинские. Оценка биологического действия медицинских изделий. Часть 10. Исследование раздражающего и сенсибилизирующего действия
Название английское:
Medical devices. Biological evaluation of medical devices. Part 10. Tests for irritation and sensitization
Даты и сроки
Дата издания:
11-23-00
Дата введения в действие:
01-01-02
Дата завершения срока действия:
09-01-10
Применение и описание
Область и условия применения:
Настоящий стандарт устанавливает методы оценки возможного раздражающего и сенсибилизирующего действия медицинских изделий и материалов. Настоящий стандарт распространяется на категории изделий в соответствии с ГОСТ Р ИСО 10993.1
Связи и замены
Заменяющий:
ГОСТ Р ИСО 10993-10-2009
Описание стандарта
ГОСТ Р ИСО 10993.10-99 Изделия медицинские. Оценка биологического действия медицинских изделий. Часть 10. Исследование раздражающего и сенсибилизирующего действия
Страницы стандарта





































