ГОСТ Р 56732-2015 Материалы и изделия теплоизоляционные. Методы определения характеристик эмиссии волокон при обдувании воздухом
ГОСТ Р
Скачать ГОСТ в PDF или DOC бесплатно
Основная информация
Обозначение:
ГОСТ Р 56732-2015
Статус:
Действует
Тип:
ГОСТ Р
Название русское:
Материалы и изделия теплоизоляционные. Методы определения характеристик эмиссии волокон при обдувании воздухом
Название английское:
Materials and products the construction heatinsulating. Methods for determining the emission characteristics of fibers with air flow around
Даты и сроки
Дата издания:
11-21-19
Дата введения в действие:
05-01-16
Дата завершения срока действия:
-
Применение и описание
Область и условия применения:
Настоящий стандарт распространяется на строительные минераловатные теплоизоляционные материалы и изделия, изготовленные в заводских условиях, и устанавливает методы определения характеристик эмиссии волокон (коэффициента эмиссии волокон, суммарной эмиссия волокон с квадратного метра утеплителя) при обдувании воздухом
Связи и замены
Заменяющий:
-
Описание стандарта
ГОСТ Р 56732-2015 Материалы и изделия теплоизоляционные. Методы определения характеристик эмиссии волокон при обдувании воздухом
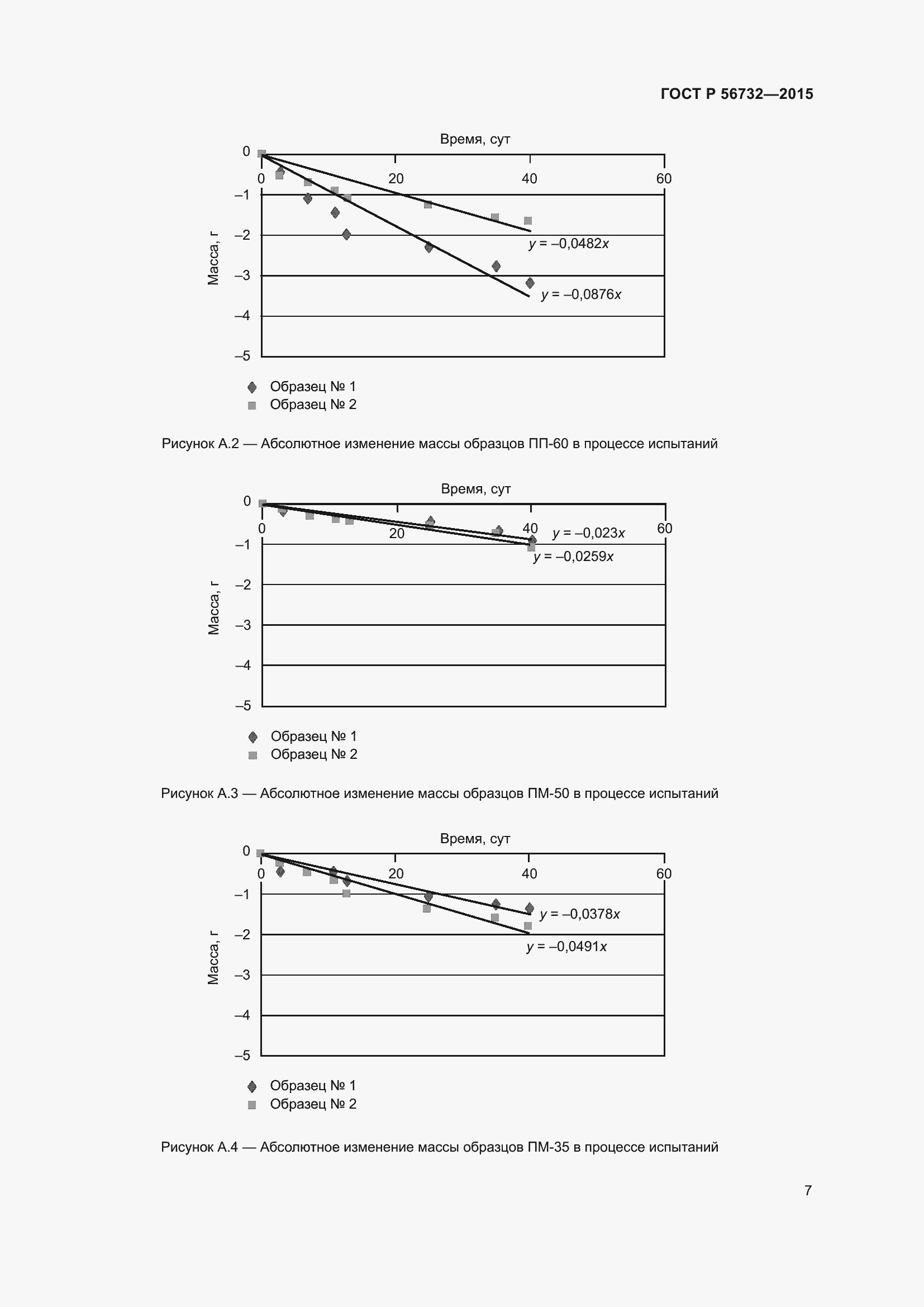
Страницы стандарта

















Приложение №1: Изменение №1 к ГОСТ Р 56732-2015 Обозначение: Изменение №1 к ГОСТ Р 56732-2015 Дата введения в действие: 01.09.2022

Приложение №1: Изменение №1 к ГОСТ Р 56732-2015 Обозначение: Изменение №1 к ГОСТ Р 56732-2015 Дата введения в действие: 01.09.2022

Приложение №1: Изменение №1 к ГОСТ Р 56732-2015 Обозначение: Изменение №1 к ГОСТ Р 56732-2015 Дата введения в действие: 01.09.2022

Приложение №1: Изменение №1 к ГОСТ Р 56732-2015 Обозначение: Изменение №1 к ГОСТ Р 56732-2015 Дата введения в действие: 01.09.2022

Приложение №1: Изменение №1 к ГОСТ Р 56732-2015 Обозначение: Изменение №1 к ГОСТ Р 56732-2015 Дата введения в действие: 01.09.2022
