ГОСТ 30732-2006 Трубы и фасонные изделия стальные с тепловой изоляцией из пенополиуретана с защитной оболочкой. Технические условия
ГОСТ
Скачать ГОСТ в PDF или DOC бесплатно
Основная информация
Обозначение:
ГОСТ 30732-2006
Статус:
Заменен
Тип:
ГОСТ
Название русское:
Трубы и фасонные изделия стальные с тепловой изоляцией из пенополиуретана с защитной оболочкой. Технические условия
Название английское:
Steel pipes and shaped products with foamed polyurethane thermal insulation in protective sheath. Specifications
Даты и сроки
Дата регистрации:
11-23-06
Дата издания:
05-01-08
Дата введения в действие:
01-01-08
Дата завершения срока действия:
01-01-21
Применение и описание
Область и условия применения:
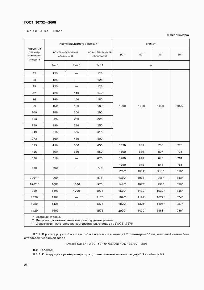
Настоящий стандарт распространяется на стальные и фасонные изделия с тепловой изоляцией из пенополиуретана в полиэтиленовой оболочке или стальным защитным покрытием, предназначенные для подземной прокладки тепловых сетей (в полиэтиленовой оболочке - бесканальным способом, со стальной защитной оболочкой - в проходных каналах и туннелях) и надземной прокладки тепловых сетей (для труб со стальным защитным покрытием) со следующими расчетными параметрами теплоносителя: рабочим давлением не более 1,6 МПа и температурой не более 140 град. С (допускается повышение температуры не более 150 град. С в пределах графика качественного регулирования отпуска тепла 150 град. С - 70 град. С). По согласованию с проектной организацией допускается применение изолированных труб в полиэтиленовой оболочке в непроходных каналах. Допускается также примение изолированных труб для трубопроводов, транспортирующих другие вещества (нефть, газ и пр.)
Связи и замены
Заменяющий:
ГОСТ 30732-2020
Взамен:
ГОСТ 30732-2001
Описание стандарта
ГОСТ 30732-2006 Трубы и фасонные изделия стальные с тепловой изоляцией из пенополиуретана с защитной оболочкой. Технические условия
Страницы стандарта















































