ГОСТ Р 54865-2011 Теплоснабжение зданий. Методика расчета энергопотребности и эффективности системы теплогенерации с тепловыми насосами
ГОСТ Р
Скачать ГОСТ в PDF или DOC бесплатно
Основная информация
Обозначение:
ГОСТ Р 54865-2011
Статус:
Действует
Тип:
ГОСТ Р
Название русское:
Теплоснабжение зданий. Методика расчета энергопотребности и эффективности системы теплогенерации с тепловыми насосами
Название английское:
Heat supply of buildings. Method for calculation of energy requirements and efficiencies for of heat generation with heat pump systems
Даты и сроки
Дата издания:
11-14-12
Дата введения в действие:
07-01-12
Дата завершения срока действия:
-
Применение и описание
Область и условия применения:
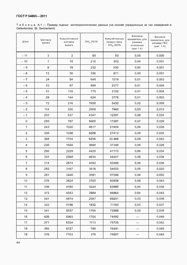
Настоящий стандарт распространяется на теплонасосные системы отопления, горячего водоснабжения и теплонасосные системы теплоснабжения зданий, обеспечивающие отопление, подогрев приточного вентиляционного воздуха и производство бытовой горячей воды. Требования настоящего стандарта распространяются на следующие элементы методик расчета: - объем, форма и содержание исходных данных; - методики вычисления; - объем, форма и содержание результатов расчетов и выходных данных
Связи и замены
Заменяющий:
-
Описание стандарта
ГОСТ Р 54865-2011 Теплоснабжение зданий. Методика расчета энергопотребности и эффективности системы теплогенерации с тепловыми насосами
Страницы стандарта














































































































