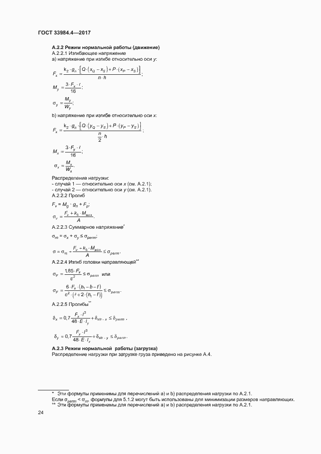
ГОСТ 33984.4-2017 Лифты. Методы расчета основных несущих узлов лифта
ГОСТ
Скачать ГОСТ в PDF или DOC бесплатно
Основная информация
Обозначение:
ГОСТ 33984.4-2017
Статус:
Действует
Тип:
ГОСТ
Название русское:
Лифты. Методы расчета основных несущих узлов лифта
Название английское:
Lifts. Main lift components calculations
Даты и сроки
Дата регистрации:
06-01-17
Дата издания:
08-16-17
Дата введения в действие:
11-01-18
Дата завершения срока действия:
-
Применение и описание
Область и условия применения:
Настоящий стандарт устанавливает методы расчета основных несущих узлов лифтов различного назначения. Требования настоящего стандарта распространяются на основные несущие узлы лифтов для транспортирования: - людей или людей и грузов; - грузов без сопровождения людьми, но кабина лифтов доступна для людей при загрузке, разгрузке; - грузов, кабина лифтов не доступна для людей.
Связи и замены
Заменяющий:
-
Описание стандарта
ГОСТ 33984.4-2017 Лифты. Методы расчета основных несущих узлов лифта
Страницы стандарта





































