ГОСТ Р ИСО/ТС 14798-2003 Лифты, эскалаторы и пассажирские конвейеры. Методология анализа риска
ГОСТ Р ИСО/ТС
Скачать ГОСТ в PDF или DOC бесплатно
Основная информация
Обозначение:
ГОСТ Р ИСО/ТС 14798-2003
Статус:
Заменен
Тип:
ГОСТ Р ИСО/ТС
Название русское:
Лифты, эскалаторы и пассажирские конвейеры. Методология анализа риска
Название английское:
Lifts (elevators), escalators and passenger conveyors. Risk analysis methodology
Даты и сроки
Дата издания:
10-29-03
Дата введения в действие:
01-01-04
Дата завершения срока действия:
07-01-10
Применение и описание
Область и условия применения:
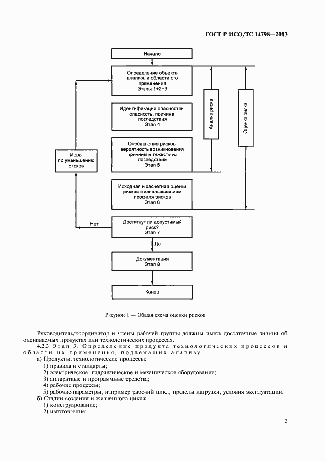
Настоящий стандарт устанавливает требования и процедуры по оценке рисков для лифтов, эскалаторов и пассажирских конвейеров. Стандарт предназначен для использования экспертами по промышленной безопасности, подготовленными в области методологии оценки рисков при определении безопасности работы оборудования и разработке требований безопасности в правилах и стандартах
Связи и замены
Заменяющий:
ГОСТ Р 53387-2009
Описание стандарта
ГОСТ Р ИСО/ТС 14798-2003 Лифты, эскалаторы и пассажирские конвейеры. Методология анализа риска
Страницы стандарта


















