ГОСТ Р МЭК 62304-2013 Изделия медицинские. Программное обеспечение. Процессы жизненного цикла
ГОСТ Р МЭК
Скачать ГОСТ в PDF или DOC бесплатно
Основная информация
Обозначение:
ГОСТ Р МЭК 62304-2013
Статус:
Отменен
Тип:
ГОСТ Р МЭК
Название русское:
Изделия медицинские. Программное обеспечение. Процессы жизненного цикла
Название английское:
Medical device software. Software life cycle processes
Даты и сроки
Дата издания:
01-12-15
Дата введения в действие:
01-01-15
Дата завершения срока действия:
09-01-23
Применение и описание
Область и условия применения:
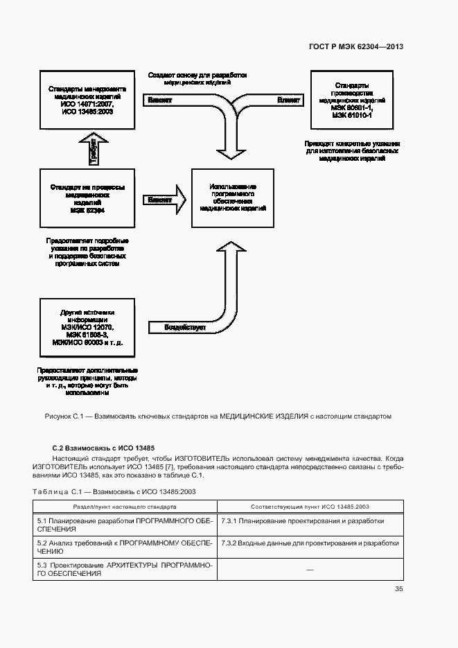
Настоящий стандарт устанавливает требования к жизненному циклу программного обеспечения медицинских изделий. Совокупность процессов, деятельности и задач, изложенных в настоящем стандарте, устанавливает общую основу для процессов жизненного цикла программного обеспечения медицинских изделий
Связи и замены
Заменяющий:
-
Описание стандарта
ГОСТ Р МЭК 62304-2013 Изделия медицинские. Программное обеспечение. Процессы жизненного цикла
Страницы стандарта








































































