ГОСТ 32020-2012 Опорные части резиновые для мостостроения. Технические условия
ГОСТ
Скачать ГОСТ в PDF или DOC бесплатно
Основная информация
Обозначение:
ГОСТ 32020-2012
Статус:
Действует
Тип:
ГОСТ
Название русское:
Опорные части резиновые для мостостроения. Технические условия
Название английское:
Elastomeric bearings for bridge building. Specifications
Даты и сроки
Дата регистрации:
12-18-12
Дата издания:
10-14-19
Дата введения в действие:
01-01-14
Дата завершения срока действия:
-
Применение и описание
Область и условия применения:
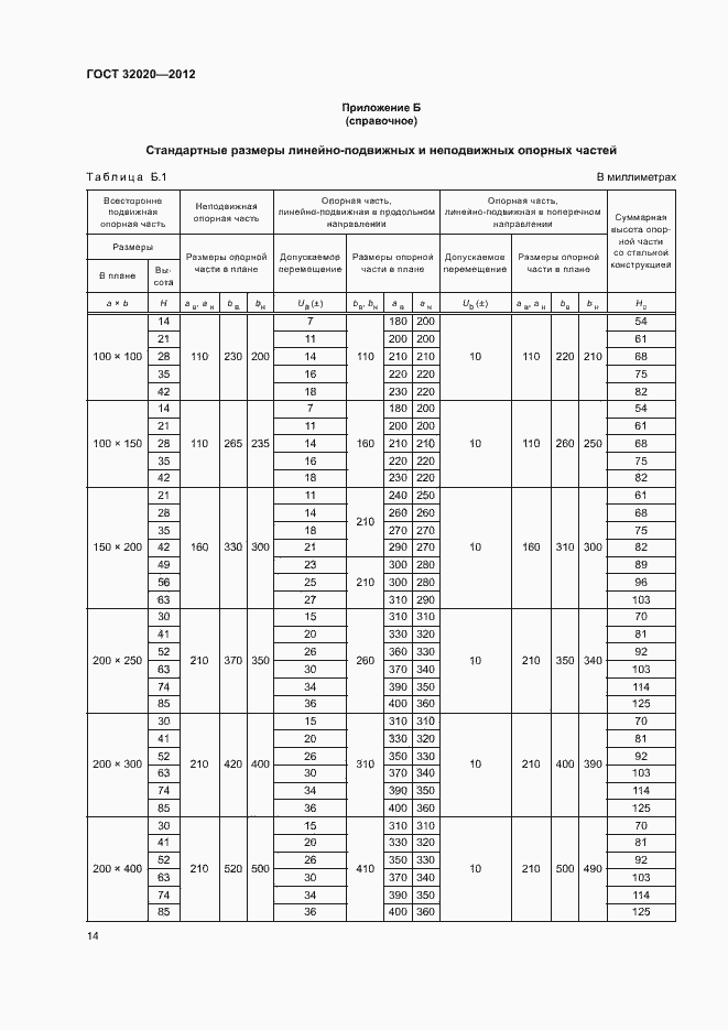
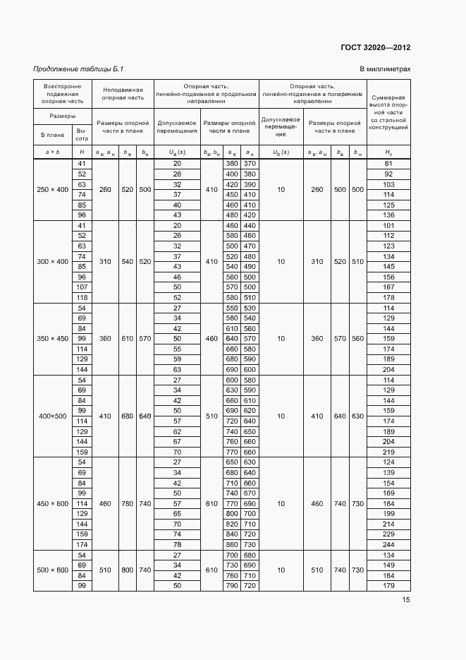
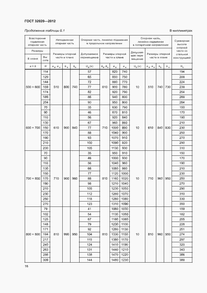
Настоящий стандарт устанавливает требования к изготовлению, установке, приемке в эксплуатацию резиновых опорных частей для мостовых сооружений
Связи и замены
Заменяющий:
-
Описание стандарта
ГОСТ 32020-2012 Опорные части резиновые для мостостроения. Технические условия
Страницы стандарта































