ГОСТ 32862-2014 Дороги автомобильные общего пользования. Щебень и песок шлаковые. Отбор проб
ГОСТ
Скачать ГОСТ в PDF или DOC бесплатно
Основная информация
Обозначение:
ГОСТ 32862-2014
Статус:
Действует
Тип:
ГОСТ
Название русское:
Дороги автомобильные общего пользования. Щебень и песок шлаковые. Отбор проб
Название английское:
Automobile roads of general use. Rubble and sand slag. Sampling
Даты и сроки
Дата регистрации:
06-25-14
Дата издания:
09-30-19
Дата введения в действие:
07-01-15
Дата завершения срока действия:
-
Применение и описание
Область и условия применения:
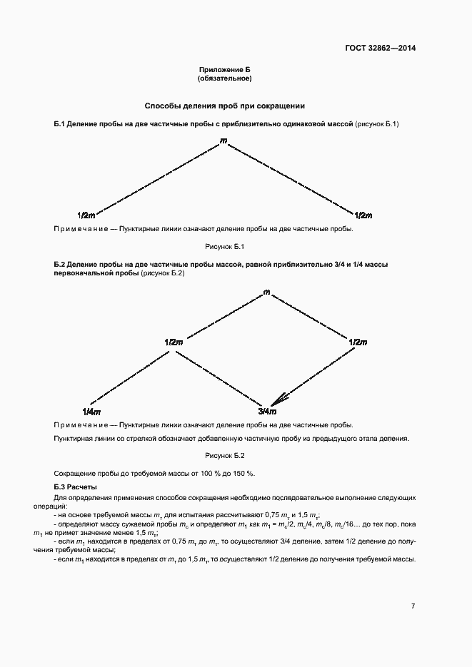
Настоящий стандарт распространяется на щебень и песок из шлаков черной и цветной металлургии, а также фосфорных шлаков применяемые при строительстве, ремонте, капитальном ремонте, реконструкции и обслуживании автомобильных дорог общего пользования. Настоящий стандарт устанавливает методы отбора проб шлаковых щебня и песка для лабораторных испытаний
Связи и замены
Заменяющий:
-
Описание стандарта
ГОСТ 32862-2014 Дороги автомобильные общего пользования. Щебень и песок шлаковые. Отбор проб
Страницы стандарта












Приложение №1: Изменение №1 к ГОСТ 32862-2014 Обозначение: Изменение №1 к ГОСТ 32862-2014 Дата введения в действие: 01.05.2025
