ГОСТ Р 58406.8-2019 Дороги автомобильные общего пользования. Смеси асфальтобетонные дорожные и асфальтобетон. Определение сопротивления пластическому течению по методу Маршалла
ГОСТ Р
Скачать ГОСТ в PDF или DOC бесплатно
Основная информация
Обозначение:
ГОСТ Р 58406.8-2019
Статус:
Действует
Тип:
ГОСТ Р
Название русское:
Дороги автомобильные общего пользования. Смеси асфальтобетонные дорожные и асфальтобетон. Определение сопротивления пластическому течению по методу Маршалла
Название английское:
Automobile roads of general use. Asphalt mixtures and asphalt concrete for road pavement. Determination of the resistance to plastic flow by Marshall’s method
Даты и сроки
Дата издания:
06-14-19
Дата введения в действие:
06-07-19
Дата завершения срока действия:
-
Применение и описание
Область и условия применения:
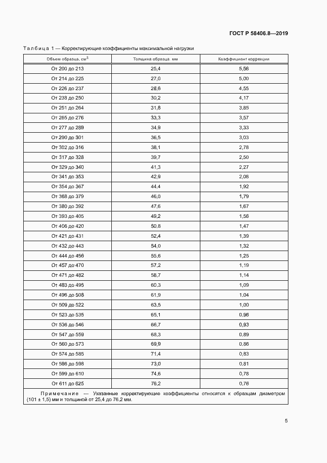
Настоящий стандарт распространяется на асфальтобетонные смеси и асфальтобетон и устанавливает метод определения сопротивления пластическому течению цилиндрических образцов (нагружаемых на боковые поверхности) на установке Маршалла
Связи и замены
Заменяющий:
-
Описание стандарта
ГОСТ Р 58406.8-2019 Дороги автомобильные общего пользования. Смеси асфальтобетонные дорожные и асфальтобетон. Определение сопротивления пластическому течению по методу Маршалла
Страницы стандарта










