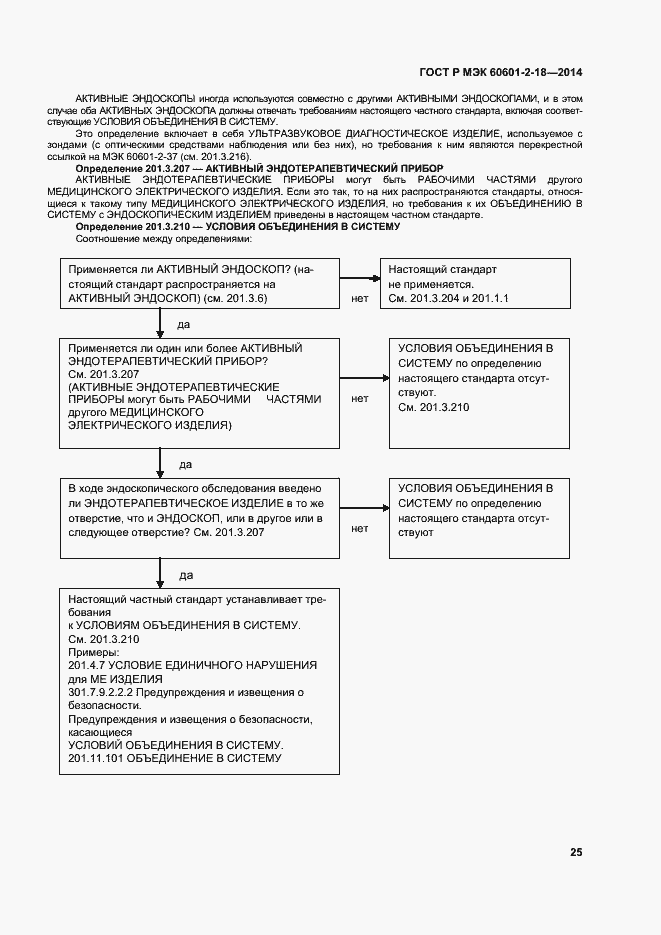
ГОСТ Р МЭК 60601-2-18-2014 Изделия медицинские электрические. Часть 2-18. Частные требования безопасности с учетом основных функциональных характеристик к эндоскопической аппаратуре
ГОСТ Р МЭК
Скачать ГОСТ в PDF или DOC бесплатно
Основная информация
Обозначение:
ГОСТ Р МЭК 60601-2-18-2014
Статус:
Действует
Тип:
ГОСТ Р МЭК
Название русское:
Изделия медицинские электрические. Часть 2-18. Частные требования безопасности с учетом основных функциональных характеристик к эндоскопической аппаратуре
Название английское:
Medical electrical equipment. Part 2-18. Particular requirements for the basic safety and essential performance of endoscopic equipment
Даты и сроки
Дата издания:
10-02-14
Дата введения в действие:
06-01-15
Дата завершения срока действия:
-
Применение и описание
Область и условия применения:
Настоящий стандарт распространяется на основную безопасность и основные функциональные характеристики эндоскопической аппаратуры вместе с системами подключения и интерфейсами
Связи и замены
Заменяющий:
-
Взамен:
ГОСТ Р 50267.18-94
Описание стандарта
ГОСТ Р МЭК 60601-2-18-2014 Изделия медицинские электрические. Часть 2-18. Частные требования безопасности с учетом основных функциональных характеристик к эндоскопической аппаратуре
Страницы стандарта










































