ГОСТ Р МЭК 60335-2-40-2000 Безопасность бытовых и аналогичных электрических приборов. Дополнительные требования к электрическим тепловым насосам, воздушным кондиционерам и осушителям и методы испытаний
ГОСТ Р МЭК
Скачать ГОСТ в PDF или DOC бесплатно
Основная информация
Обозначение:
ГОСТ Р МЭК 60335-2-40-2000
Статус:
Заменен
Тип:
ГОСТ Р МЭК
Название русское:
Безопасность бытовых и аналогичных электрических приборов. Дополнительные требования к электрическим тепловым насосам, воздушным кондиционерам и осушителям и методы испытаний
Название английское:
Safety of household and similar electrical appliances. Particular requirements for electrical heat pumps, airconditioners and dehumidifiers and test methods
Даты и сроки
Дата издания:
07-05-00
Дата введения в действие:
01-01-01
Дата завершения срока действия:
01-01-10
Применение и описание
Область и условия применения:
Настоящий стандарт устанавливает требования безопасности электрических тепловых насосов, в том числе тепловых насосов для горячей воды коммунального водоснабжения, воздушных кондиционеров и осушителей, оснащенных герметичными мотор-компрессорами, бытового и аналогичного применения номинальным напряжением не более 250 В для однофазных приборов и 600 В - для других приборов. Приборы, не предназначенные для бытового применения, но которые могут быть источником опасности для людей, например приборы, используемые неспециалистами в магазинах, легкой промышленности и на фермах, входят в область распространения настоящего стандарта
Связи и замены
Заменяющий:
ГОСТ Р 52161.2.40-2008
Изменения и переиздания
Список изменений:
№0 от (рег. ) «Дата введения перенесена» №1 от (рег. ) «Текстовое изменение; Изменены ссылочные НД»
Описание стандарта
ГОСТ Р МЭК 60335-2-40-2000 Безопасность бытовых и аналогичных электрических приборов. Дополнительные требования к электрическим тепловым насосам, воздушным кондиционерам и осушителям и методы испытаний
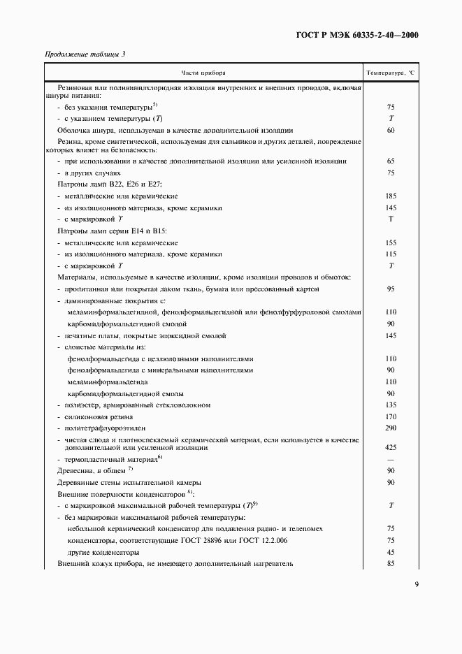
Страницы стандарта




































Приложение №1: Изменение №1 к ГОСТ Р МЭК 60335-2-40-2000 Обозначение: Изменение №1 к ГОСТ Р МЭК 60335-2-40-2000 Дата введения в действие: 01.01.2002

Приложение №1: Изменение №1 к ГОСТ Р МЭК 60335-2-40-2000 Обозначение: Изменение №1 к ГОСТ Р МЭК 60335-2-40-2000 Дата введения в действие: 01.01.2002

Приложение №1: Изменение №1 к ГОСТ Р МЭК 60335-2-40-2000 Обозначение: Изменение №1 к ГОСТ Р МЭК 60335-2-40-2000 Дата введения в действие: 01.01.2002

Приложение №2: Поправка к ГОСТ Р МЭК 60335-2-40-2000 Обозначение: Поправка к ГОСТ Р МЭК 60335-2-40-2000 Дата введения в действие: 06.06.2002
