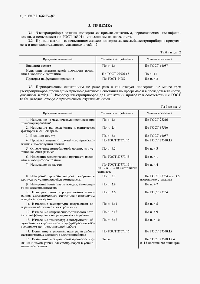
ГОСТ 16617-87 Электроприборы отопительные бытовые. Общие технические условия
ГОСТ
Скачать ГОСТ в PDF или DOC бесплатно
Основная информация
Обозначение:
ГОСТ 16617-87
Статус:
Действует
Тип:
ГОСТ
Название русское:
Электроприборы отопительные бытовые. Общие технические условия
Название английское:
Household electric heating appliances. General specifications
Даты и сроки
Дата издания:
06-01-99
Дата введения в действие:
01-01-88
Дата завершения срока действия:
-
Применение и описание
Область и условия применения:
Настоящий стандарт распространяется на бытовые отопительные электроприборы непосредственного действия, изготавливаемые для нужд народного хозяйства и экспорта. Электроприборы предназначены для дополнительного обогрева жилых помещений. Стандарт не распространяется на электротепловентиляторы и отопительные электроприборы непосредственного действия, встраиваемые в конструкцию зданий и мебель
Связи и замены
Заменяющий:
-
Взамен:
ГОСТ 308-78;ГОСТ 16617-80;ГОСТ 18476-81
Изменения и переиздания
Список изменений:
№1 от (рег. ) «Срок действия продлен» №2 от (рег. ) «Срок действия продлен»
Описание стандарта
ГОСТ 16617-87 Электроприборы отопительные бытовые. Общие технические условия
Страницы стандарта



















