ГОСТ 33864-2016 Энергетическая эффективность. Оборудование для отопления. Проектирование с учетом воздействия на окружающую среду
ГОСТ
Скачать ГОСТ в PDF или DOC бесплатно
Основная информация
Обозначение:
ГОСТ 33864-2016
Статус:
Действует
Тип:
ГОСТ
Название русское:
Энергетическая эффективность. Оборудование для отопления. Проектирование с учетом воздействия на окружающую среду
Название английское:
Energy efficiency. Equipment for heating. Environmental security and ecological safety guaranteed design
Даты и сроки
Дата регистрации:
07-27-16
Дата издания:
09-18-19
Дата введения в действие:
01-01-18
Дата завершения срока действия:
-
Применение и описание
Область и условия применения:
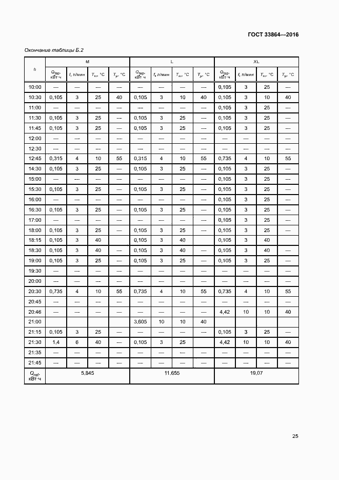
Настоящий стандарт распространяется на оборудование для отопления: устройства для отопления помещений и комбинированные нагревательные устройства с номинальной мощностью 400 кВт, комплекты из устройств для отопления помещений, устройств контроля температуры и устройств, работающих на солнечной энергии, а также комплекты из комбинированных нагревательных устройств, устройств контроля температуры и устройств, работающих на солнечной энергии. Настоящий стандарт не распространяется на: - нагревательные устройства, которые сконструированы специально для применения газообразных или жидких видов топлива, производимых преимущественно из биомассы; - нагревательные устройства, работающие на твердых видах топлива; - нагревательные устройства, предназначенные только для приготовления теплой питьевой воды или воды для хозяйственных нужд; - нагревательные устройства, предназначенные для нагрева и распространения газообразных теплоносителей, таких как пара или воздуха; - устройства для отопления помещений с комбинированной выработкой тепловой и электрической энергий с максимальной электрической мощностью 50 кВт и выше
Связи и замены
Заменяющий:
-
Описание стандарта
ГОСТ 33864-2016 Энергетическая эффективность. Оборудование для отопления. Проектирование с учетом воздействия на окружающую среду
Страницы стандарта































