ГОСТ EN 1196-2013 Воздухонагреватели газовые бытового и небытового назначения. Дополнительные требования к конденсационным воздухонагревателям
ГОСТ ЕН
Скачать ГОСТ в PDF или DOC бесплатно
Основная информация
Обозначение:
ГОСТ EN 1196-2013
Статус:
Действует
Тип:
ГОСТ ЕН
Название русское:
Воздухонагреватели газовые бытового и небытового назначения. Дополнительные требования к конденсационным воздухонагревателям
Название английское:
Domestic and non-domestic gas-fired air heaters. Supplementary requirements for condensing air heaters
Даты и сроки
Дата регистрации:
11-14-13
Дата издания:
10-25-19
Дата введения в действие:
01-01-15
Дата завершения срока действия:
-
Применение и описание
Область и условия применения:
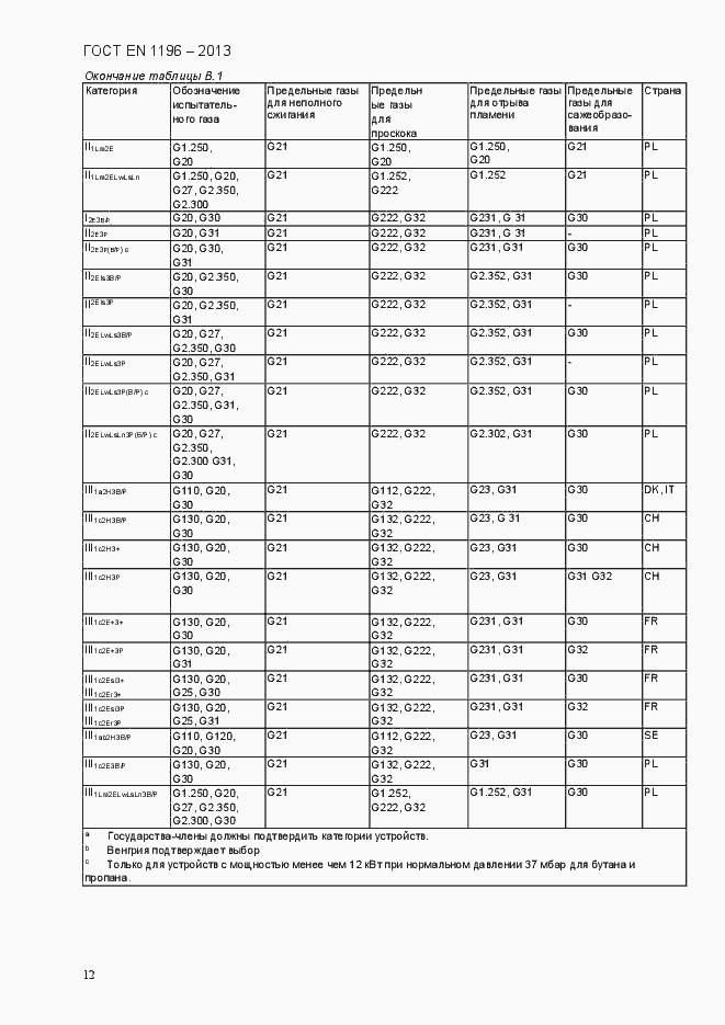
Настоящий стандарт устанавливает дополнительные требования и методы испытаний для сжигающих газ воздухонагревателей, определяющим параметром которых, является конденсирование водяных паров из продуктов сгорания. Настоящий стандарт используют как дополнение к стандартам ЕN 778 и ЕN 1319 для бытовых воздухонагревателей, а так же к ЕN 1020 для небытовых воздухонагревателей. Настоящий стандарт распространяется на воздухонагреватели с или без вентилятора в контуре сгорания в одном из следующих исполнений: - воздухонагреватель, оборудованный конденсационным теплообменником; - не конденсационный воздухонагреватель с интегрированным в него конденсационным теплообменником; - не конденсационный воздухонагреватель с интегрированным в него конденсационным теплообменником для рекуперации тепла отходящих продуктов сгорания и соответствующим образом из циркулирующего воздуха
Связи и замены
Заменяющий:
-
Описание стандарта
ГОСТ EN 1196-2013 Воздухонагреватели газовые бытового и небытового назначения. Дополнительные требования к конденсационным воздухонагревателям
Страницы стандарта


























