ГОСТ Р 54446-2011 Нагреватели светового излучения газовые, не предназначенные для бытового применения. Часть 1. Требования безопасности
ГОСТ Р
Скачать ГОСТ в PDF или DOC бесплатно
Основная информация
Обозначение:
ГОСТ Р 54446-2011
Статус:
Действует
Тип:
ГОСТ Р
Название русское:
Нагреватели светового излучения газовые, не предназначенные для бытового применения. Часть 1. Требования безопасности
Название английское:
Non domestic gas-fired overhead luminos radiant heaters. Part 1. Safety requirements
Даты и сроки
Дата издания:
07-20-12
Дата введения в действие:
07-01-12
Дата завершения срока действия:
-
Применение и описание
Область и условия применения:
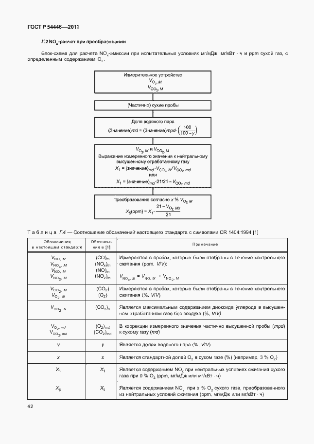
Настоящий стандарт устанавливает требования к безопасности, конструкции, характеристикам, методам испытаний, а также классификации и маркировке газовых светлых излучателей с атмосферными горелками для применения в производственных помещениях (далее – аппараты). Настоящий стандарт применяется только для аппаратов модели «A1» (см. 4.3). Настоящий стандарт не применяется для аппаратов: a) спроектированных для использования в жилых помещениях; b) спроектированных для использования на открытом воздухе; c) с тепловой нагрузкой свыше 120 кВт (в пересчет на теплотворное значение стандартных испытательных газов); d) с горелками с полным предварительным смешиванием газа и воздуха, у которых: - либо газ и весь объем воздух горения соединяются незадолго до зоны сгорания, - либо предварительное смешивание газа с необходимым объемом воздуха для горения происходит в части горелки перед зоной сжигания. е) у которых подача воздуха для горения и/или отвод отработанных газов осуществляется при помощи встроенных механических приспособлений. Требования настоящего стандарта применяется к аппаратам, для проведения испытаний типового образца. Требования к аппаратам, не включенным в типовые испытания, должны быть разработаны дополнительно. Настоящий стандарт не содержит требования к аппаратам по эффективному расходу энергии
Связи и замены
Заменяющий:
-
Описание стандарта
ГОСТ Р 54446-2011 Нагреватели светового излучения газовые, не предназначенные для бытового применения. Часть 1. Требования безопасности
Страницы стандарта


















































