ГОСТ ИСО 8124-3-2001 Игрушки. Общие требования безопасности и методы испытаний. Выделение вредных для здоровья ребенка элементов
ГОСТ ИСО
Скачать ГОСТ в PDF или DOC бесплатно
Основная информация
Обозначение:
ГОСТ ИСО 8124-3-2001
Статус:
Заменен
Тип:
ГОСТ ИСО
Название русское:
Игрушки. Общие требования безопасности и методы испытаний. Выделение вредных для здоровья ребенка элементов
Название английское:
Toys. General safety requirements and methods of tests. Emission of toxic for children elements
Даты и сроки
Дата регистрации:
11-02-01
Дата издания:
06-16-06
Дата введения в действие:
06-01-06
Дата завершения срока действия:
01-01-16
Применение и описание
Область и условия применения:
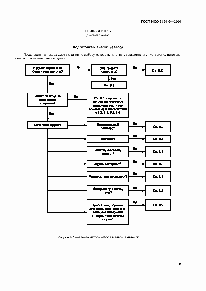
Настоящий стандарт устанавливает требования и методы контроля выделения вредных для здоровья ребенка элементов (сурьма, мышьяк, барий, кадмий, хром, свинец, ртуть и селен), содержащихся в материалах игрушки и ее составных частях, за исключением недоступных для контакта материалов. Требования настоящего стандарта распространяются на растворимые соединения этих элементов и не нормируют их общее содержание в материалах игрушки. Настоящий стандарт распространяется на следующие материалы игрушек: - покрытия из красок, лаков, глазури, типографской краски, полимеров и аналогичных материалов; - полимеры и подобные им материалы, включая слоистые пластики, в том числе дублированные текстильные материалы; - бумага и картон поверхностной плотностью до 400 г/м кв.; - ткани, натуральные и синтетические; - стекло, керамика, металлические материалы; - другие материалы, окрашенные или неокрашенные (дерево, фанера, кожа, кость, твердый картон); - материалы для рисования (графитовые стержни, жидкие чернила для ручек); - материалы для лепки, включая специальные пасты и гели; - краски, лаки, глазурь, порошки и другие аналогичные вещества для нанесения покрытий, присутствующие в игрушке в твердом или жидком состоянии. Настоящий стандарт не применяется для игрушек или деталей игрушек, которые исключают возможность проникания токсичных элементов в организм ребенка, поскольку он не будет брать их в рот (исходя из назначения, веса, размера, других характеристик, а также, учитывая предполагаемое обращение ребенка с игрушкой такого типа)
Связи и замены
Заменяющий:
ГОСТ ISO 8124-3-2014
Описание стандарта
ГОСТ ИСО 8124-3-2001 Игрушки. Общие требования безопасности и методы испытаний. Выделение вредных для здоровья ребенка элементов
Страницы стандарта


















