ГОСТ Р 51557-99 Игрушки электрические. Требования безопасности
ГОСТ Р
Скачать ГОСТ в PDF или DOC бесплатно
Основная информация
Обозначение:
ГОСТ Р 51557-99
Статус:
Действует
Тип:
ГОСТ Р
Название русское:
Игрушки электрические. Требования безопасности
Название английское:
Electric toys. Requirements of safety
Даты и сроки
Дата издания:
10-19-00
Дата введения в действие:
01-01-03
Дата завершения срока действия:
-
Применение и описание
Область и условия применения:
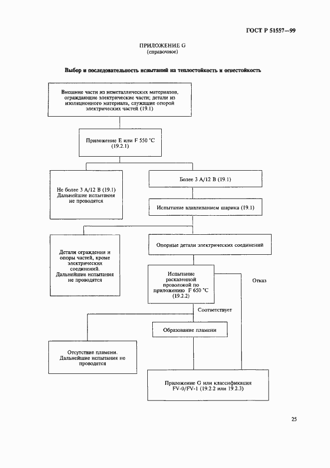
Настоящий стандарт распространяется на электрические игрушки с номинальным напряжением питания до 24 В и устанавливает требования их безопасности. Он распространяется также на электрические конструкторские наборы, электрические функциональные игрушки и экспериментальные наборы. Стандарт не распространяется на: переносные привлекательные для детей светильники; рождественские украшения; масштабные модели для коллекции взрослых; оборудование, предназначенное для коллективного использования на площадках для игры; спортивный инвентарь; водное снаряжение, предназначенное для использования на глубине; куклы народного творчества и декоративные куклы или другие подобные художественные изделия для коллекции взрослых; профессиональные игрушки, установленные в публичных местах (торговых центрах, на станциях и т.п.); фейерверки, содержащие ударные капсюли; наборы дротиков с металлическим острием; печи, утюги или другие функциональные изделия, питаемые напряжением, превышающим 24 В; изделия, содержащие нагревательные элементы, предназначенные для использования под присмотром взрослых в учебных целях; транспортные средства с двигателями внутреннего сгорания; игрушки с паровыми двигателями; велосипеды, сконструированные для спорта или для путешествия по общественным автомобильным дорогам; видеоигрушки, которые могут быть подключены к видеоэкрану и которые питаются от напряжения, превышающего 24 В; точные копии реального стрелкового оружия; модные ювелирные украшения для детей
Связи и замены
Заменяющий:
-
Описание стандарта
ГОСТ Р 51557-99 Игрушки электрические. Требования безопасности
Страницы стандарта































