ГОСТ 31590.1-2012 Приборы офтальмологические. Часть 1. Общие требования к офтальмологическим приборам и методам испытаний
ГОСТ
Скачать ГОСТ в PDF или DOC бесплатно
Основная информация
Обозначение:
ГОСТ 31590.1-2012
Статус:
Действует
Тип:
ГОСТ
Название русское:
Приборы офтальмологические. Часть 1. Общие требования к офтальмологическим приборам и методам испытаний
Название английское:
Ophtnalmic instruments. Part 1. General requirements applicable to all ophthalmic instruments and test methods
Даты и сроки
Дата регистрации:
05-24-12
Дата издания:
11-28-13
Дата введения в действие:
01-01-15
Дата завершения срока действия:
-
Применение и описание
Область и условия применения:
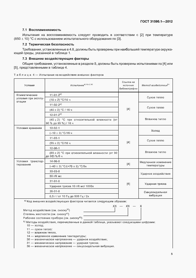
Настоящий стандарт распространяется на неинвазивные активные и неактивные офтальмологические приборы, а также на средства для улучшения пониженного зрения и тонометры. Стандарт устанавливает общие требования, предъявляемые к офтальмологическим приборам и методам их испытаний. Стандарт не распространяется на офтальмологические приборы, которые используются в контакте с глазным яблоком пациента, а также на операционные микроскопы, медицинские эндоскопы и устройства, предназначенные для лазерного исследования или лечения глаз с помощью лазера
Связи и замены
Заменяющий:
-
Описание стандарта
ГОСТ 31590.1-2012 Приборы офтальмологические. Часть 1. Общие требования к офтальмологическим приборам и методам испытаний
Страницы стандарта











