ГОСТ 10921-2017 Вентиляторы радиальные и осевые. Методы аэродинамических испытаний
ГОСТ
Скачать ГОСТ в PDF или DOC бесплатно
Основная информация
Обозначение:
ГОСТ 10921-2017
Статус:
Действует
Тип:
ГОСТ
Название русское:
Вентиляторы радиальные и осевые. Методы аэродинамических испытаний
Название английское:
Radial and axial fans. Methods of aerodynamic tests
Даты и сроки
Дата регистрации:
11-30-17
Дата издания:
11-16-18
Дата введения в действие:
07-01-19
Дата завершения срока действия:
-
Применение и описание
Область и условия применения:
Настоящий стандарт распространяется на промышленные вентиляторы радиальные одно- и двусторонние, на осевые одно- и многоступенчатые с диаметрами рабочих колес от 0,05 до 5,0 м, предназначенные для систем вентиляции и кондиционирования, а также для других производственных целей, создающие полное давление до 30 кПа при плотности перемещаемой среды на входе 1,2 кг/м в кубе. Стандарт устанавливает методы получения аэродинамических характеристик вентиляторов на стандартизированных испытательных стендах. Методы могут быть использованы также для испытаний диаметральных, диагональных, канальных и крышных вентиляторов
Связи и замены
Заменяющий:
-
Взамен:
ГОСТ 10921-90
Описание стандарта
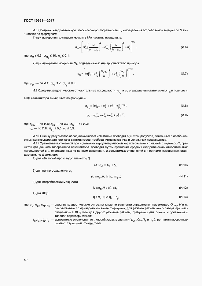
ГОСТ 10921-2017 Вентиляторы радиальные и осевые. Методы аэродинамических испытаний
Страницы стандарта
















































