ГОСТ 13616-97 Профили прессованные прямоугольные полосообразного сечения из алюминия, алюминиевых и магниевых сплавов. Сортамент
ГОСТ
Скачать ГОСТ в PDF или DOC бесплатно
Основная информация
Обозначение:
ГОСТ 13616-97
Статус:
Заменен
Тип:
ГОСТ
Название русское:
Профили прессованные прямоугольные полосообразного сечения из алюминия, алюминиевых и магниевых сплавов. Сортамент
Название английское:
Extruded rectangular sheet-section shapes of aluminium, aluminium and magnesium alloys. Dimensions
Даты и сроки
Дата издания:
07-08-98
Дата введения в действие:
01-01-99
Дата завершения срока действия:
09-01-25
Применение и описание
Область и условия применения:
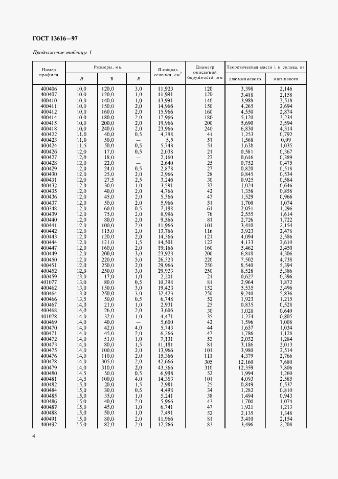
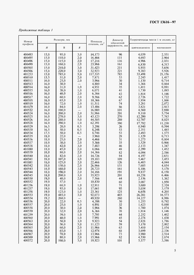
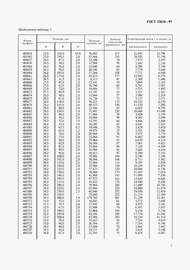
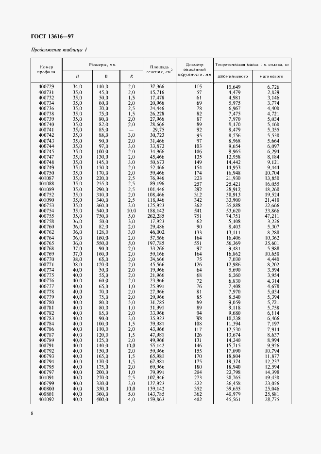
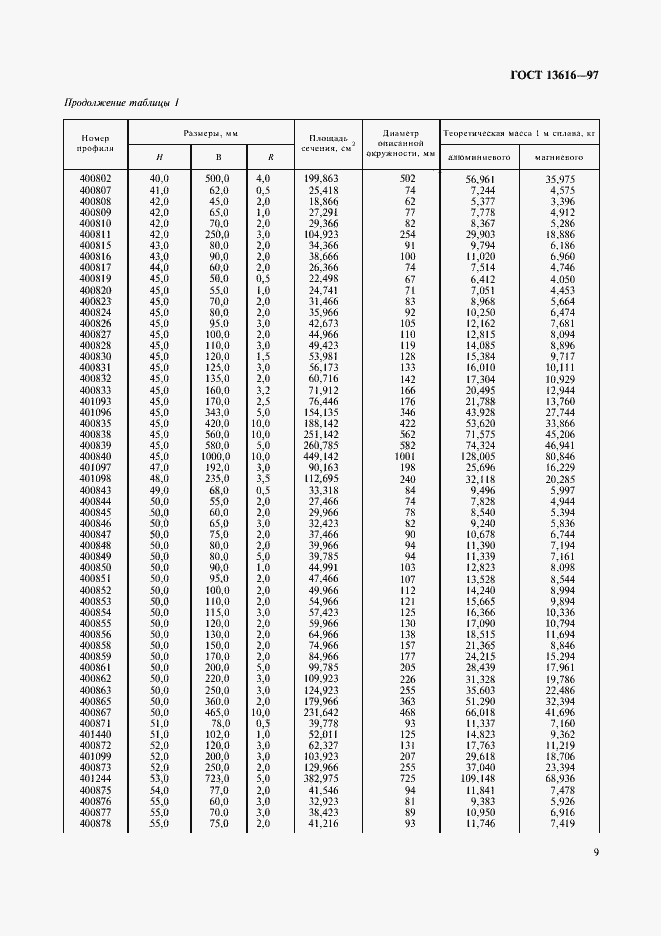
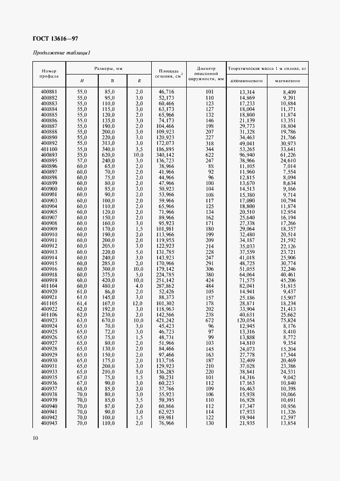
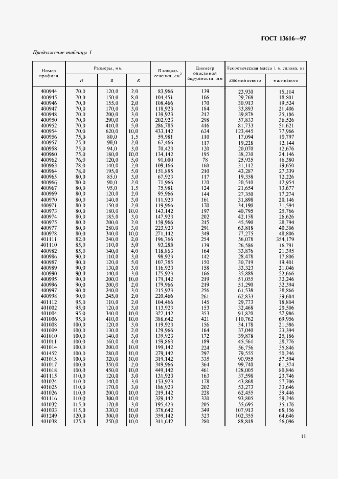
Настоящий стандарт устанавливает сортамент прессованных прямоугольных профилей полосообразного сечения из алюминия, алюминиевых и магниевых сплавов, изготовляемых методом горячего прессования
Связи и замены
Заменяющий:
ГОСТ 13616-2025
Взамен:
ГОСТ 13616-78
Описание стандарта
ГОСТ 13616-97 Профили прессованные прямоугольные полосообразного сечения из алюминия, алюминиевых и магниевых сплавов. Сортамент
Страницы стандарта




























