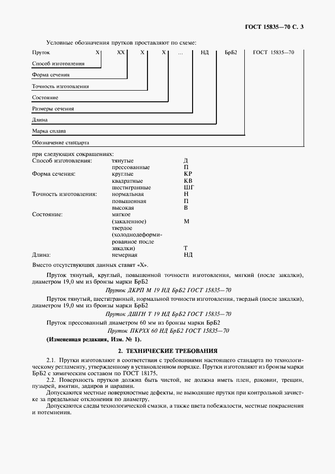
ГОСТ 15835-70 Прутки из бериллиевой бронзы. Технические условия
ГОСТ
Скачать ГОСТ в PDF или DOC бесплатно
Основная информация
Обозначение:
ГОСТ 15835-70
Статус:
Заменен
Тип:
ГОСТ
Название русское:
Прутки из бериллиевой бронзы. Технические условия
Название английское:
Beryllium bronze bars. Specifications
Даты и сроки
Дата издания:
03-01-99
Дата введения в действие:
01-01-71
Дата завершения срока действия:
01-01-15
Применение и описание
Область и условия применения:
Настоящий стандарт распространяется на круглые, квадратные, шестигранные тянутые прутки и круглые прессованные прутки из бериллиевой бронзы, применяемые в приборостроении и машиностроении
Связи и замены
Заменяющий:
ГОСТ 15835-2013
Изменения и переиздания
Список изменений:
№1 от (рег. ) «Поправка» №2 от (рег. ) «Срок действия продлен» №3 от (рег. ) «Срок действия продлен»
Описание стандарта
ГОСТ 15835-70 Прутки из бериллиевой бронзы. Технические условия
Страницы стандарта










