ГОСТ 15862-81 Плиты-заготовки круглые пакетов штампов листовой штамповки для разделительных операций. Конструкция и размеры
ГОСТ
Скачать ГОСТ в PDF или DOC бесплатно
Основная информация
Обозначение:
ГОСТ 15862-81
Статус:
Действует
Тип:
ГОСТ
Название русское:
Плиты-заготовки круглые пакетов штампов листовой штамповки для разделительных операций. Конструкция и размеры
Название английское:
Plate blanks round of die sets for sheet stamping dies for dividing operations. Construction and dimensions
Даты и сроки
Дата издания:
08-24-81
Дата введения в действие:
01-01-82
Дата завершения срока действия:
-
Применение и описание
Область и условия применения:
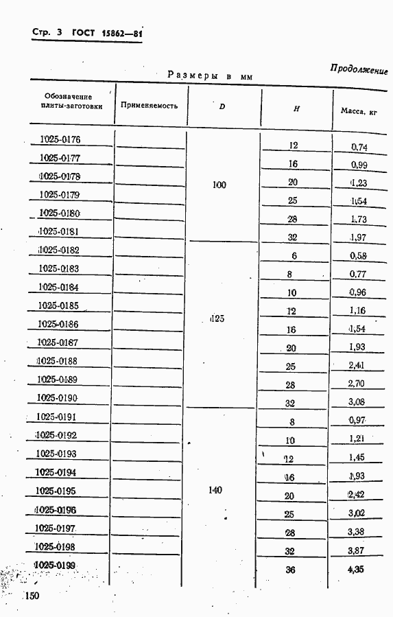
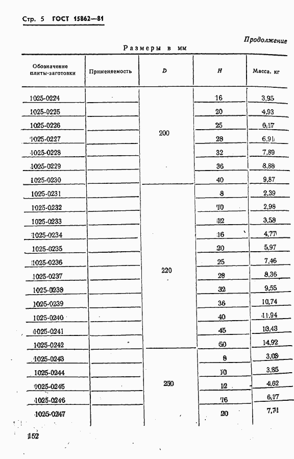
Настоящий стандарт устанавливает конструкцию и размеры круглых плит-заготовок пакетов штампов листовой штамповки для разделительных операций
Связи и замены
Заменяющий:
-
Взамен:
ГОСТ 15862-70
Изменения и переиздания
Список изменений:
№1 от (рег. ) «Срок действия продлен» №2 от (рег. ) «Срок действия продлен»
Описание стандарта
ГОСТ 15862-81 Плиты-заготовки круглые пакетов штампов листовой штамповки для разделительных операций. Конструкция и размеры
Страницы стандарта


















