ГОСТ 1628-78 Прутки бронзовые. Технические условия
ГОСТ
Скачать ГОСТ в PDF или DOC бесплатно
Основная информация
Обозначение:
ГОСТ 1628-78
Статус:
Заменен
Тип:
ГОСТ
Название русское:
Прутки бронзовые. Технические условия
Название английское:
Bronze rods. Specifications
Даты и сроки
Дата издания:
08-01-03
Дата введения в действие:
01-01-80
Дата завершения срока действия:
12-01-19
Применение и описание
Область и условия применения:
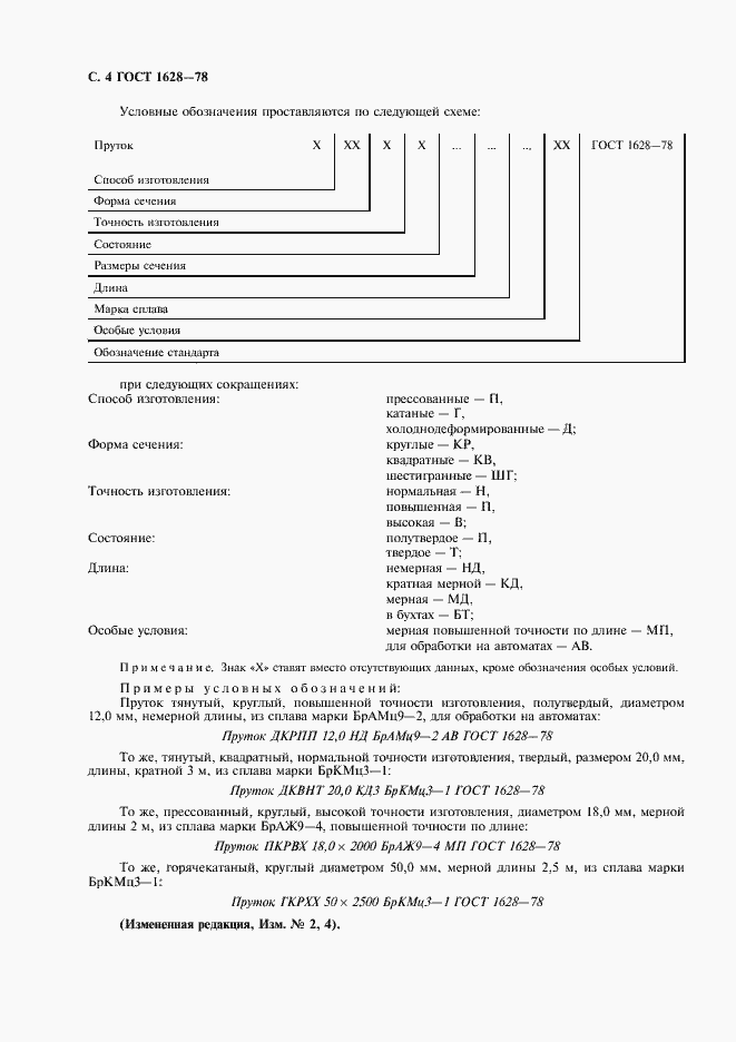
Настоящий стандарт распространяется на тянутые (круглые, квадратные и шестигранные), прессованные (круглые) и горячекатаные (круглые) прутки из безоловянных бронз, применяемые в различных отраслях промышленности
Связи и замены
Заменяющий:
ГОСТ 1628-2019
Взамен:
ГОСТ 1628-72
Изменения и переиздания
Список изменений:
№0 от (рег. ) «Дата введения перенесена» №1 от (рег. ) «Срок действия продлен» №2 от (рег. ) «Срок действия продлен» №3 от (рег. ) «Срок действия продлен» №4 от (рег. ) «Срок действия продлен»
Описание стандарта
ГОСТ 1628-78 Прутки бронзовые. Технические условия
Страницы стандарта














