ГОСТ 1761-92 Полосы и ленты из оловянно-фосфористой и оловянно-цинковой бронзы. Технические условия
ГОСТ
Скачать ГОСТ в PDF или DOC бесплатно
Основная информация
Обозначение:
ГОСТ 1761-92
Статус:
Заменен
Тип:
ГОСТ
Название русское:
Полосы и ленты из оловянно-фосфористой и оловянно-цинковой бронзы. Технические условия
Название английское:
Tin-phosphorus and tin-zinc bronze ribbons and strips. Specifications
Даты и сроки
Дата издания:
04-01-05
Дата введения в действие:
01-01-93
Дата завершения срока действия:
04-01-17
Применение и описание
Область и условия применения:
Настоящий стандарт распространяется на холоднокатаные полосы и ленты, применяемые для изготовления упругих элементов, деталей приборов, машин и аппаратов
Связи и замены
Заменяющий:
ГОСТ 1761-2016
Взамен:
ГОСТ 1761-79
Описание стандарта
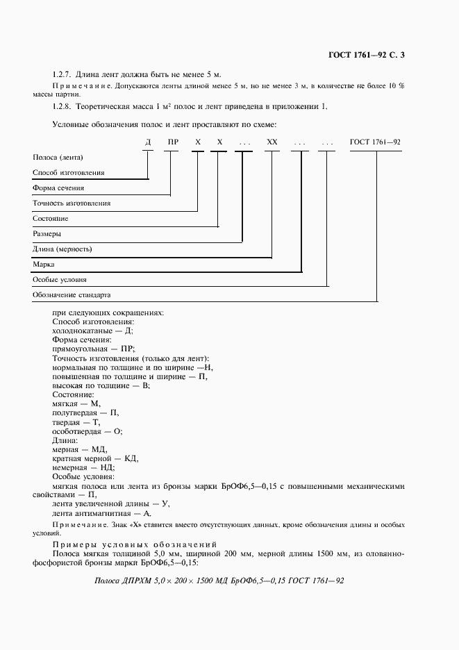
ГОСТ 1761-92 Полосы и ленты из оловянно-фосфористой и оловянно-цинковой бронзы. Технические условия
Страницы стандарта














