ГОСТ 2.610-2006 Единая система конструкторской документации. Правила выполнения эксплуатационных документов
ГОСТ
Скачать ГОСТ в PDF или DOC бесплатно
Основная информация
Обозначение:
ГОСТ 2.610-2006
Статус:
Утратил силу в РФ
Тип:
ГОСТ
Название русское:
Единая система конструкторской документации. Правила выполнения эксплуатационных документов
Название английское:
Unified system for design documentation. Rules for making exploitative documents
Даты и сроки
Дата регистрации:
02-28-06
Дата издания:
11-01-07
Дата введения в действие:
09-01-06
Дата завершения срока действия:
02-01-20
Применение и описание
Область и условия применения:
Настоящий стандарт устанавливает общие правила выполнения следующих эксплуатационных документов изделий машиностроения и приборостроения: - руководство по эксплуатации; - инструкция по монтажу, пуску, регулированию и обкатке изделия; - формуляр; - паспорт; - этикетка; - каталог деталей и сборочных единиц; - нормы расхода запасных частей; - ведомость ЗИП; - инструкции эксплуатационные специальные; - ведомость эксплуатационных документов
Связи и замены
Заменяющий:
-
Изменения и переиздания
Список изменений:
№0 от (рег. ) «Дата введения перенесена»
Описание стандарта
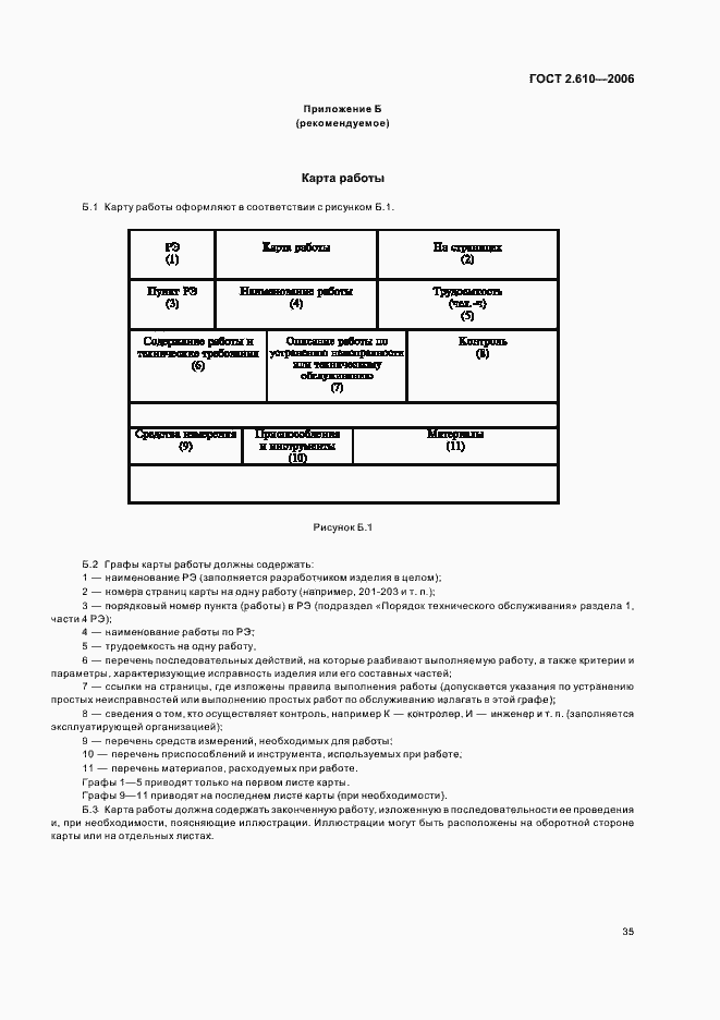
ГОСТ 2.610-2006 Единая система конструкторской документации. Правила выполнения эксплуатационных документов
Страницы стандарта







































Приложение №2: Поправка к ГОСТ 2.610-2006 Обозначение: Поправка к ГОСТ 2.610-2006 Дата введения в действие: 01.04.2007

Приложение №2: Поправка к ГОСТ 2.610-2006 Обозначение: Поправка к ГОСТ 2.610-2006 Дата введения в действие: 01.04.2007
