ГОСТ 2.707-84 Единая система конструкторской документации. Правила выполнения электрических схем железнодорожной сигнализации, централизации и блокировки
ГОСТ
Скачать ГОСТ в PDF или DOC бесплатно
Основная информация
Обозначение:
ГОСТ 2.707-84
Статус:
Действует
Тип:
ГОСТ
Название русское:
Единая система конструкторской документации. Правила выполнения электрических схем железнодорожной сигнализации, централизации и блокировки
Название английское:
Unified system for design documentation. Rules for presentation of electric diagrams of railway signalling centralization and blocking
Даты и сроки
Дата издания:
11-01-07
Дата введения в действие:
01-01-85
Дата завершения срока действия:
-
Применение и описание
Область и условия применения:
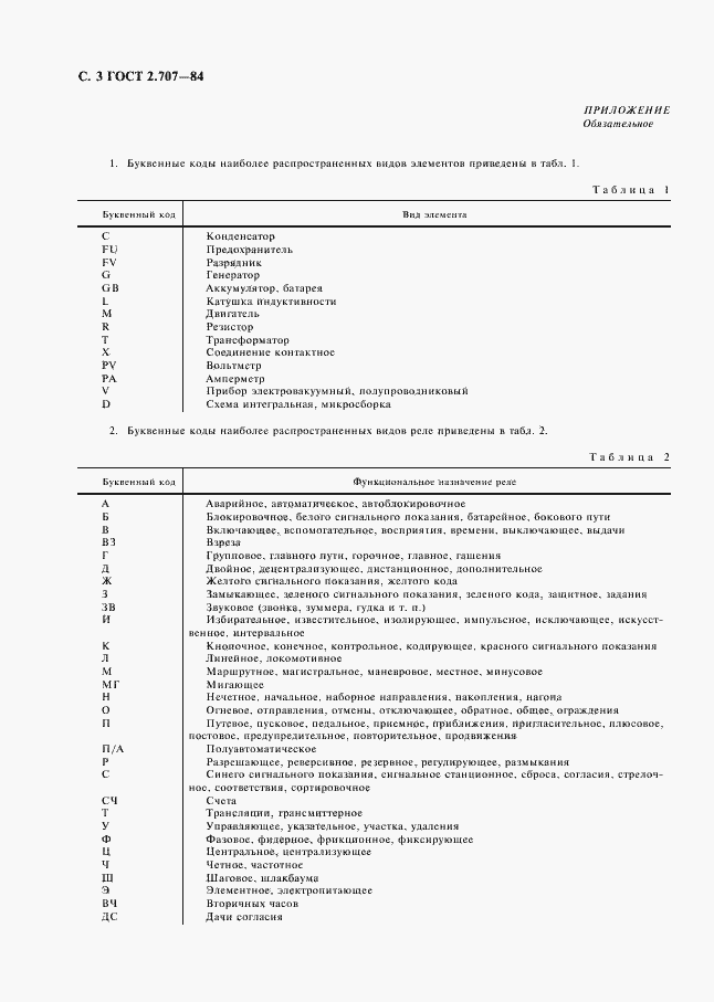
Настоящий стандарт распространяется на электрические схемы сооружений (станций, перегонов и т. п.) железнодорожной сигнализации, централизации и блокировки, выполняемые вручную или автоматизированным способом, и устанавливает правила их выполнения
Связи и замены
Заменяющий:
-
Взамен:
ГОСТ 2.707-72
Описание стандарта
ГОСТ 2.707-84 Единая система конструкторской документации. Правила выполнения электрических схем железнодорожной сигнализации, централизации и блокировки
Страницы стандарта




