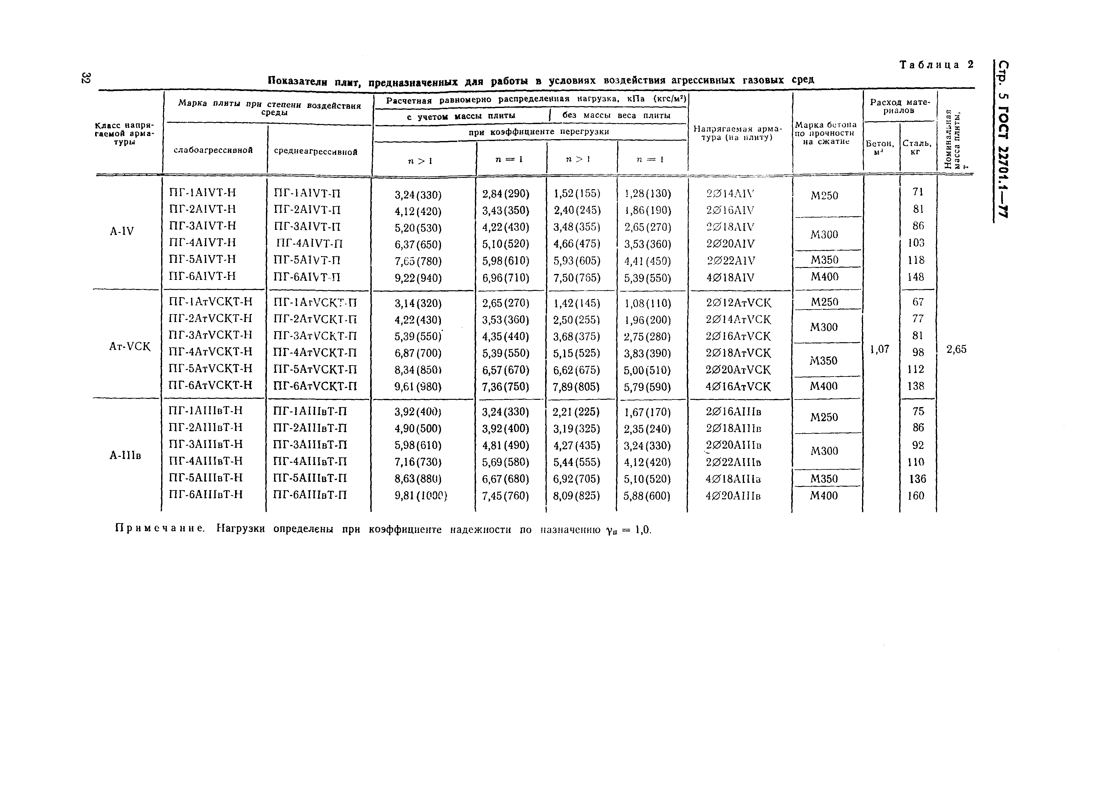
ГОСТ 22701.1-77 Плиты железобетонные ребристые предварительно напряженные размерами 6х3 м для покрытий производственных зданий. Плиты типа ПГ. Конструкция и размеры
ГОСТ
Основная информация
Обозначение:
ГОСТ 22701.1-77
Статус:
утратил силу в РФ
Тип:
ГОСТ
Название русское:
Плиты железобетонные ребристые предварительно напряженные размерами 6х3 м для покрытий производственных зданий. Плиты типа ПГ. Конструкция и размеры
Описание стандарта
ГОСТ 22701.1-77 Плиты железобетонные ребристые предварительно напряженные размерами 6х3 м для покрытий производственных зданий. Плиты типа ПГ. Конструкция и размеры
Страницы стандарта












