ГОСТ IEC 60601-2-33-2011 Изделия медицинские электрические. Часть 2-33. Частные требования безопасности к медицинскому диагностическому оборудованию, работающему на основе магнитного резонанса
ГОСТ МЭК
Скачать ГОСТ в PDF или DOC бесплатно
Основная информация
Обозначение:
ГОСТ IEC 60601-2-33-2011
Статус:
Утратил силу в РФ
Тип:
ГОСТ МЭК
Название русское:
Изделия медицинские электрические. Часть 2-33. Частные требования безопасности к медицинскому диагностическому оборудованию, работающему на основе магнитного резонанса
Название английское:
Medical electrical equipment. Part 2-33. Particular requirements for the safety of magnetic resonance equipment for medical diagnosis
Даты и сроки
Дата регистрации:
11-29-11
Дата издания:
08-11-14
Дата введения в действие:
01-01-13
Дата завершения срока действия:
01-01-15
Применение и описание
Область и условия применения:
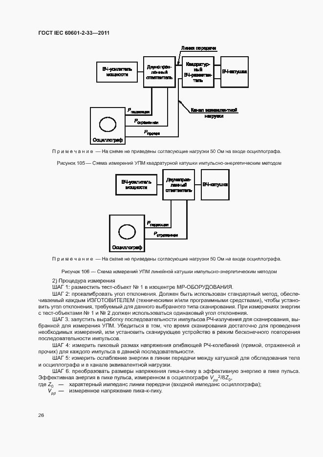
Настоящий стандарт распространяется на безопасность магнито-резонансного (МР) оборудования по 2.2.101 и МР-системы по 2.2.102. Настоящий стандарт устанавливает требования безопасности МР-оборудования для обеспечения защиты пациента
Связи и замены
Заменяющий:
-
Изменения и переиздания
Список изменений:
№0 от (рег. ) «Поправка к изменению»
Описание стандарта
ГОСТ IEC 60601-2-33-2011 Изделия медицинские электрические. Часть 2-33. Частные требования безопасности к медицинскому диагностическому оборудованию, работающему на основе магнитного резонанса
Страницы стандарта








































































