ГОСТ 30245-2012 Профили стальные гнутые замкнутые сварные квадратные и прямоугольные для строительных конструкций. Технические условия
ГОСТ
Скачать ГОСТ в PDF или DOC бесплатно
Основная информация
Обозначение:
ГОСТ 30245-2012
Статус:
Утратил силу в РФ
Тип:
ГОСТ
Название русское:
Профили стальные гнутые замкнутые сварные квадратные и прямоугольные для строительных конструкций. Технические условия
Название английское:
Steel bent closed welded square and rectangular section for building. Specifications
Даты и сроки
Дата регистрации:
12-18-12
Дата издания:
10-01-14
Дата введения в действие:
06-30-18
Дата завершения срока действия:
08-31-18
Применение и описание
Область и условия применения:
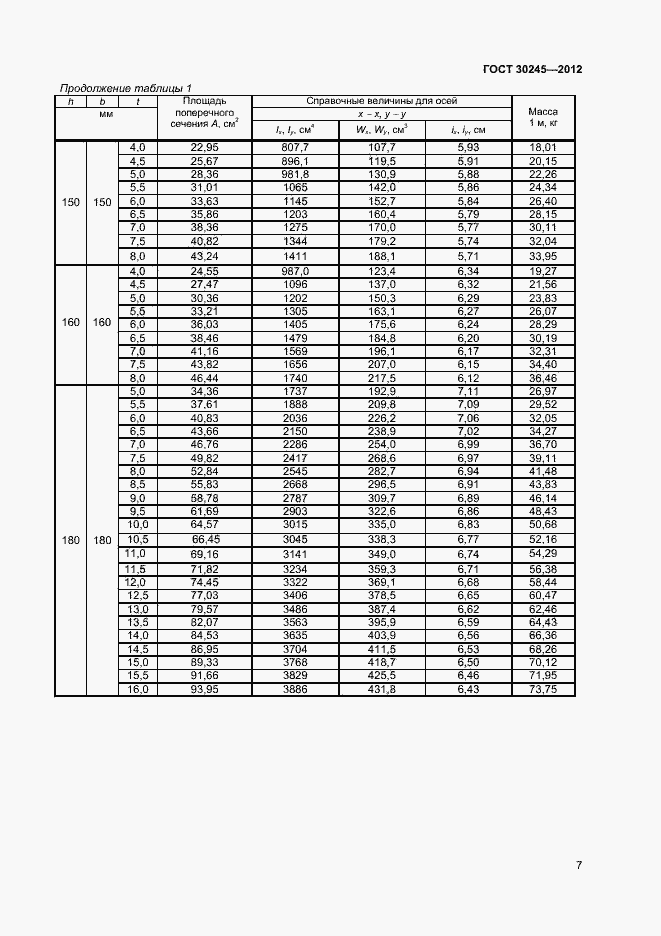
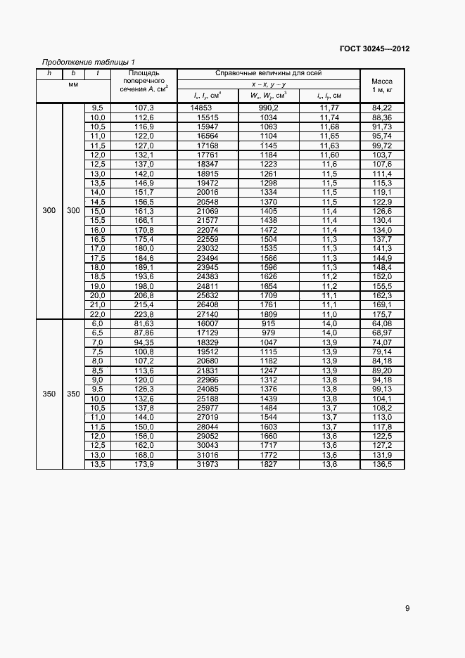
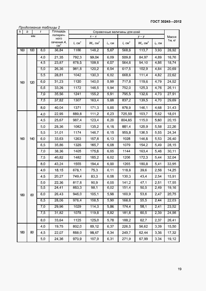
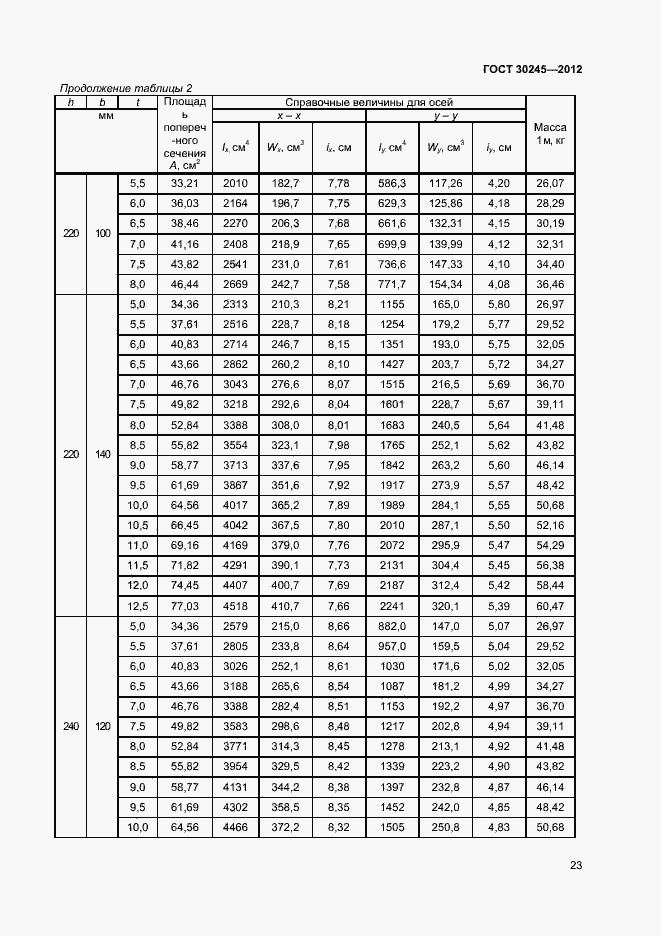
Настоящий стандарт распространяется на стальные гнутые замкнутые сварные квадратные и прямоугольные профили, далее - профили, предназначенные для строительных стальных конструкций. Профили изготовляют из поставляемого в рулонах листового проката путем формирования из него на специализированных станах круглого трубчатого сечения с продольным сварным швом и последующим обжатием валками в квадратный или прямоугольный профиль из углеродистой и низколегированной стали, полученной способом электродуговой или конвертерной выплавки с внепечной обработкой, обеспечивающей модифицирование неметаллических включений
Связи и замены
Заменяющий:
-
Изменения и переиздания
Список изменений:
№0 от (рег. ) «Утратил силу в РФ» №0 от (рег. ) «Утратил силу в РФ» №0 от (рег. ) «Утратил силу в РФ» №0 от (рег. ) «Дата введения перенесена» №0 от (рег. ) «Утратил силу в РФ» №0 от (рег. ) «Поправка к изменению»
Описание стандарта
ГОСТ 30245-2012 Профили стальные гнутые замкнутые сварные квадратные и прямоугольные для строительных конструкций. Технические условия
Страницы стандарта











































Приложение №6: Поправка к ГОСТ 30245-2012 Обозначение: Поправка к ГОСТ 30245-2012 Дата введения в действие: 12.04.2017
