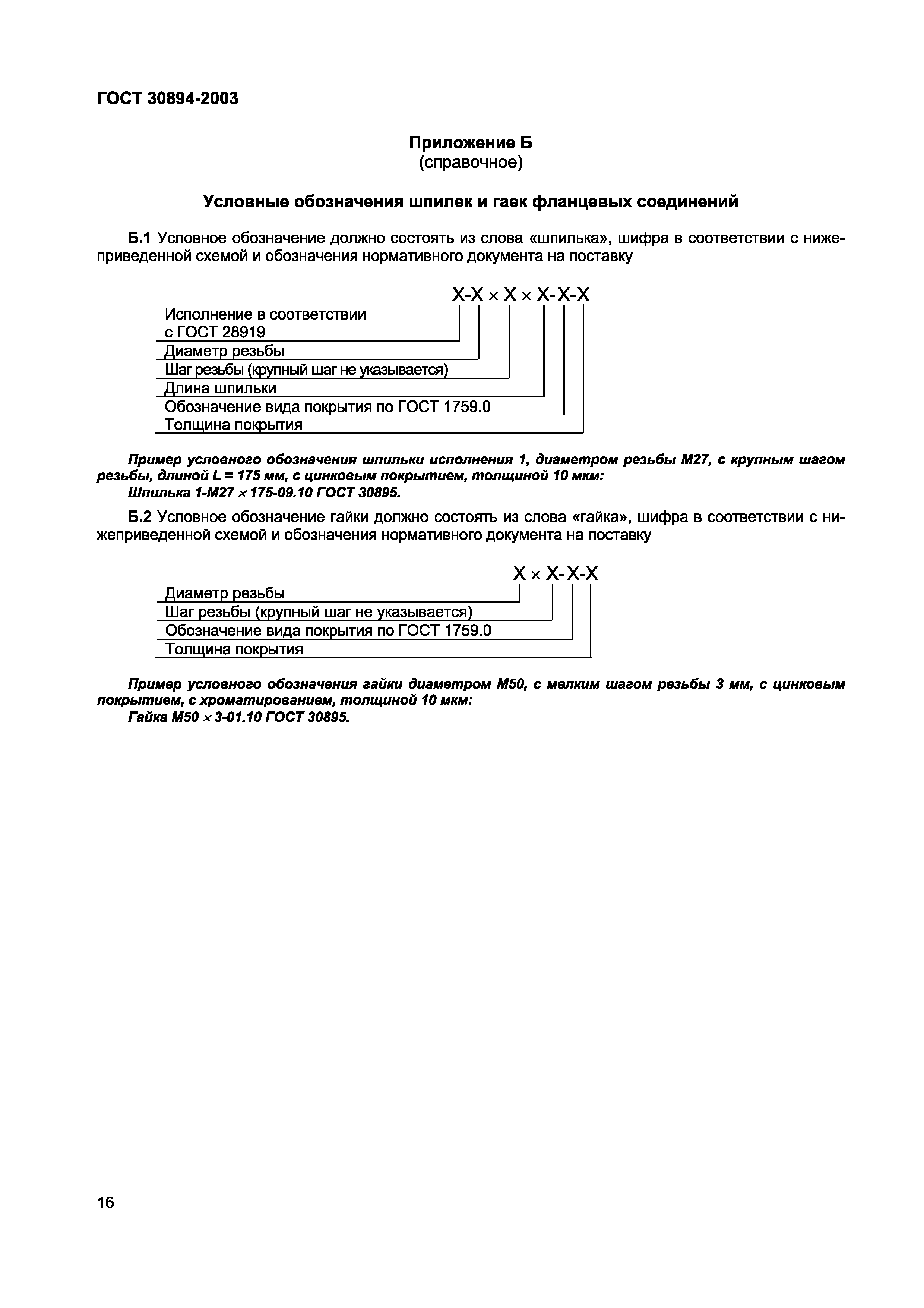
ГОСТ 30894-2003 Оборудование устьевое добычное. Общие технические требования
ГОСТ
Основная информация
Обозначение:
ГОСТ 30894-2003
Тип:
ГОСТ
Название русское:
Оборудование устьевое добычное. Общие технические требования
Даты и сроки
Дата введения в действие:
08-01-09
Описание стандарта
ГОСТ 30894-2003 Оборудование устьевое добычное. Общие технические требования
Страницы стандарта

























