ГОСТ 31247-2004 Чистота промышленная. Определение загрязнения пробы жидкости с помощью автоматических счетчиков частиц
ГОСТ
Скачать ГОСТ в PDF или DOC бесплатно
Основная информация
Обозначение:
ГОСТ 31247-2004
Статус:
Действует
Тип:
ГОСТ
Название русское:
Чистота промышленная. Определение загрязнения пробы жидкости с помощью автоматических счетчиков частиц
Название английское:
Industrial cleanliness. Determination of fluid sample contamination using automatic particle counter
Даты и сроки
Дата регистрации:
05-26-04
Дата издания:
03-31-05
Дата введения в действие:
09-01-05
Дата завершения срока действия:
-
Применение и описание
Область и условия применения:
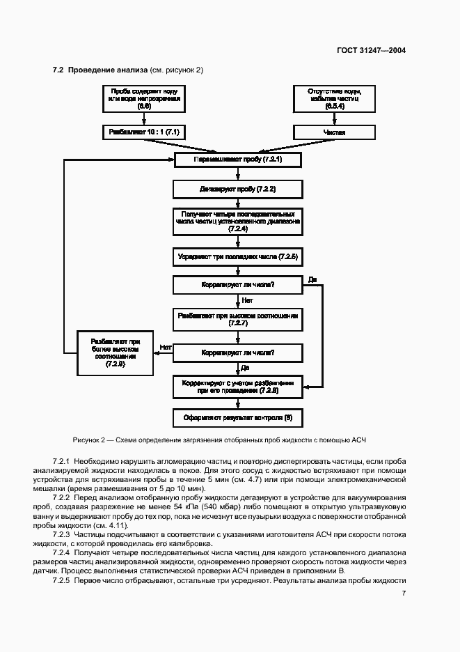
Настоящий стандарт устанавливает метод автоматического подсчета частиц, находящихся во взвешенном состоянии, в пробе жидкости с целью определения их размера и количественного распределения по размерам. Метод количественного анализа применяют для контроля: - количества частиц в жидкостях гидравлических систем; - качества процессов промывки узлов и гидроагрегатов; - работы вспомогательного оборудования и испытательных установок; - состояния жидкости в упаковке (таре). Метод используют для однородных (гомогенных) жидкостей и при условии отсутствия крупномасштабных оптических неоднородностей и межфазовой границы в анализируемой жидкости, создающей ложные электрические сигналы на выходе автоматического счетчика частиц
Связи и замены
Заменяющий:
-
Описание стандарта
ГОСТ 31247-2004 Чистота промышленная. Определение загрязнения пробы жидкости с помощью автоматических счетчиков частиц
Страницы стандарта














