ГОСТ 31653-2012 Корма. Метод иммуноферментного определения микотоксинов
ГОСТ
Скачать ГОСТ в PDF или DOC бесплатно
Основная информация
Обозначение:
ГОСТ 31653-2012
Статус:
Действует
Тип:
ГОСТ
Название русское:
Корма. Метод иммуноферментного определения микотоксинов
Название английское:
Feedstuffs. Method of immunoenzyme mycotoxin determination
Даты и сроки
Дата регистрации:
06-20-12
Дата издания:
06-15-20
Дата введения в действие:
07-01-13
Дата завершения срока действия:
-
Применение и описание
Область и условия применения:
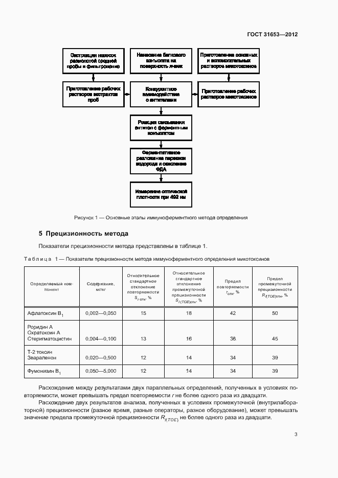
Настоящий стандарт устанавливает иммуноферментный метод определения содержания микотоксинов (афлатоксина В1, роридина А, охратоксина А, стеригматоцистина, Т-2 токсина, зеараленона, фумонизина В1) в кормах. Настоящий стандарт распространяется на зерновые корма, зернобобовые кормовые культуры, искусственно высушенные и грубые корма, продукцию комбикормовой промышленности (комбикорма полнорационные, комбикорма-концентраты), сырье для производства кормов и кормовые добавки, за исключением кормовых добавок минерального происхождения и продукции органического синтеза
Связи и замены
Заменяющий:
-
Описание стандарта
ГОСТ 31653-2012 Корма. Метод иммуноферментного определения микотоксинов
Страницы стандарта














