ГОСТ 8.157-75 Государственная система обеспечения единства измерений. Шкалы температурные практические
ГОСТ
Скачать ГОСТ в PDF или DOC бесплатно
Основная информация
Обозначение:
ГОСТ 8.157-75
Статус:
Действует
Тип:
ГОСТ
Название русское:
Государственная система обеспечения единства измерений. Шкалы температурные практические
Название английское:
State system for ensuring the uniformity of measurements. The temperature practical scales
Даты и сроки
Дата издания:
12-01-85
Дата введения в действие:
01-01-76
Дата завершения срока действия:
-
Применение и описание
Область и условия применения:
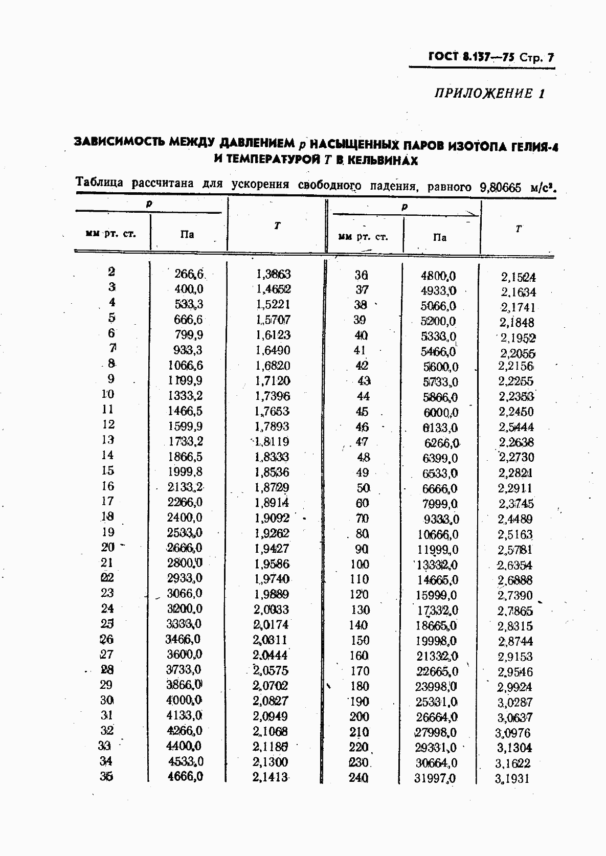
Настоящий стандарт устанавливает практические температурные шкалы, предназначенные для обеспечения единства измерений температуры в диапазоне от 0,01 до 100000 К и методы их осуществления
Связи и замены
Заменяющий:
-
Взамен:
ГОСТ 12442-66
Взамен в части:
ГОСТ 8550-61 в части МПТШ-48
Описание стандарта
ГОСТ 8.157-75 Государственная система обеспечения единства измерений. Шкалы температурные практические
Страницы стандарта

























