ГОСТ 8281-80 Швеллеры стальные гнутые неравнополочные. Сортамент
ГОСТ
Скачать ГОСТ в PDF или DOC бесплатно
Основная информация
Обозначение:
ГОСТ 8281-80
Статус:
Действует
Тип:
ГОСТ
Название русское:
Швеллеры стальные гнутые неравнополочные. Сортамент
Название английское:
Roll-formed steel unequal channels Dimensions
Даты и сроки
Дата издания:
04-01-03
Дата введения в действие:
01-01-81
Дата завершения срока действия:
-
Применение и описание
Область и условия применения:
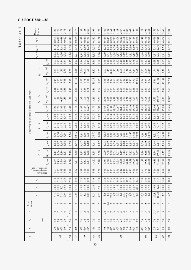
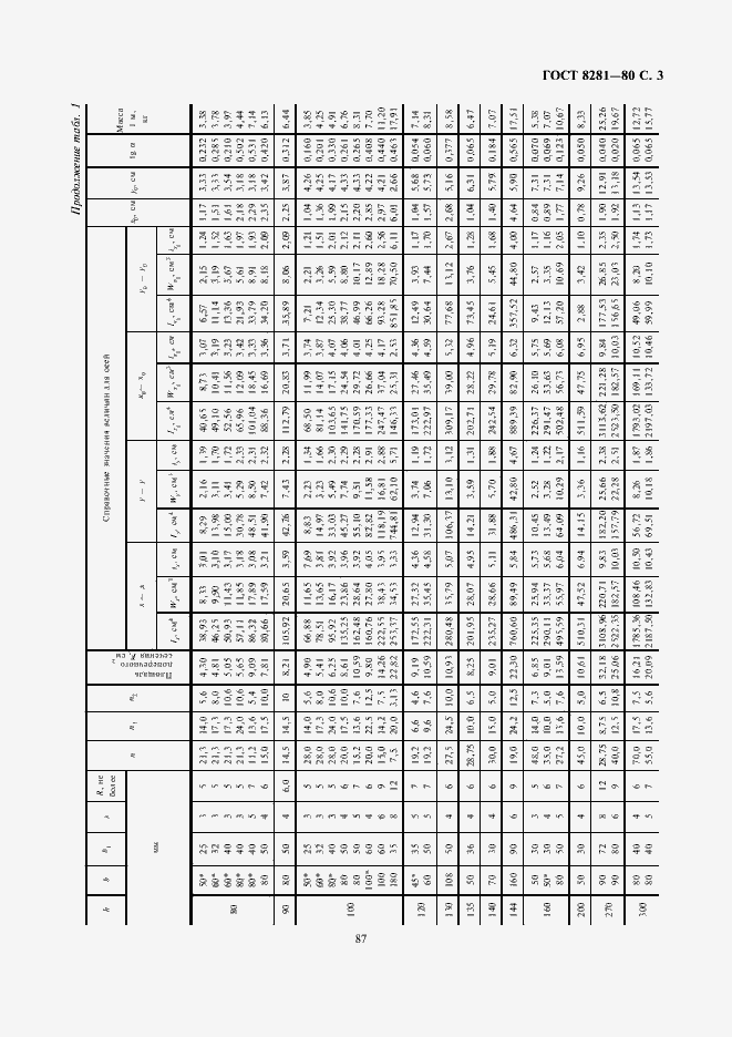
Настоящий стандарт распространяется на стальные гнутые неравнополочные швеллеры, изготовляемые на профилегибочных станах из горячекатаной рулонной углеродистой обыкновенного качества, углеродистой качественной конструкционной и низколегированной стали
Связи и замены
Заменяющий:
-
Взамен:
ГОСТ 8281-69
Изменения и переиздания
Список изменений:
№1 от (рег. ) «Срок действия продлен» №2 от (рег. ) «Срок действия продлен»
Описание стандарта
ГОСТ 8281-80 Швеллеры стальные гнутые неравнополочные. Сортамент
Страницы стандарта






