ГОСТ 8282-83 Профили стальные гнутые С-образные равнополочные. Сортамент
ГОСТ
Скачать ГОСТ в PDF или DOC бесплатно
Основная информация
Обозначение:
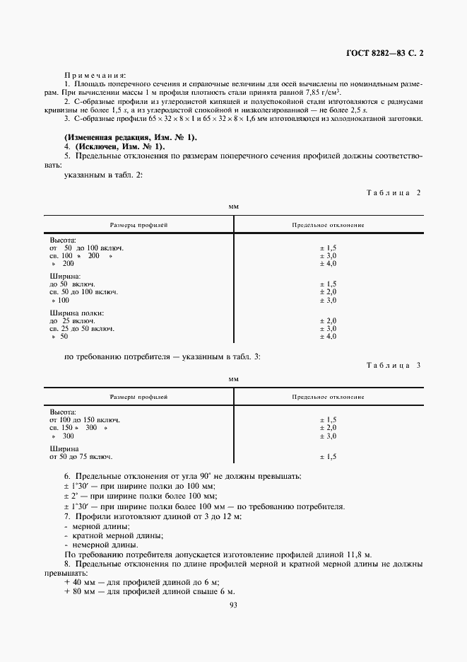
ГОСТ 8282-83
Статус:
Заменен
Тип:
ГОСТ
Название русское:
Профили стальные гнутые С-образные равнополочные. Сортамент
Название английское:
Bent-steel С-shaped equal flange sections. Dimensions
Даты и сроки
Дата издания:
04-01-03
Дата введения в действие:
01-01-84
Дата завершения срока действия:
10-01-22
Применение и описание
Область и условия применения:
Настоящий стандарт устанавливает сортамент гнутых С-образных равноплочных профилей, изготовленных на профилегибочных станах из холоднокатаной и горячекатаной стали обыкновенного качества, углеродистой качественной и низколегированной
Связи и замены
Заменяющий:
ГОСТ 8282-2022
Взамен:
ГОСТ 8282-76
Изменения и переиздания
Список изменений:
№1 от (рег. ) «Срок действия продлен»
Описание стандарта
ГОСТ 8282-83 Профили стальные гнутые С-образные равнополочные. Сортамент
Страницы стандарта


