ГОСТ 8283-93 Профили стальные гнутые корытные равнополочные. Сортамент
ГОСТ
Скачать ГОСТ в PDF или DOC бесплатно
Основная информация
Обозначение:
ГОСТ 8283-93
Статус:
Действует
Тип:
ГОСТ
Название русское:
Профили стальные гнутые корытные равнополочные. Сортамент
Название английское:
Bent steel hat equal sections. Dimensions
Даты и сроки
Дата регистрации:
02-17-93
Дата издания:
04-01-03
Дата введения в действие:
01-01-97
Дата завершения срока действия:
-
Применение и описание
Область и условия применения:
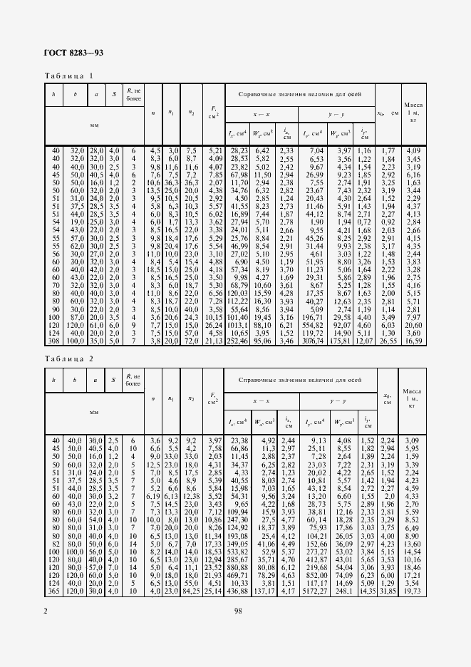
Настоящий стандарт распространяется на стальные гнутые корытные равнополочные профили, изготовляемые на профилегибочных агрегатах из холоднокатаного и горячекатаного листового проката из стали углеродистой обыкновенного качества, углеродистой качественной конструкционной и низколегированной
Связи и замены
Заменяющий:
-
Взамен:
ГОСТ 8283-77
Описание стандарта
ГОСТ 8283-93 Профили стальные гнутые корытные равнополочные. Сортамент
Страницы стандарта





