ГОСТ 839-2019 Провода неизолированные для воздушных линий электропередачи. Технические условия
ГОСТ
Скачать ГОСТ в PDF или DOC бесплатно
Основная информация
Обозначение:
ГОСТ 839-2019
Статус:
Действует
Тип:
ГОСТ
Название русское:
Провода неизолированные для воздушных линий электропередачи. Технические условия
Название английское:
Non-insulated conductors for overhead power lines. Specifications
Даты и сроки
Дата регистрации:
10-30-19
Дата издания:
01-13-20
Дата введения в действие:
05-01-20
Дата завершения срока действия:
-
Применение и описание
Область и условия применения:
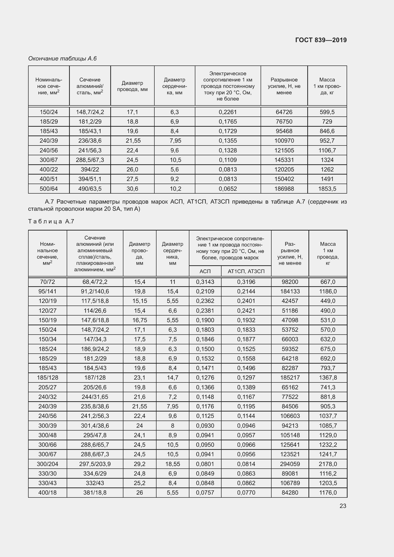
Настоящий стандарт распространяется на медные, алюминиевые, из алюминиевых сплавов и сталеалюминиевые неизолированные провода, скрученные из круглых проволок (далее - провода), предназначенные для передачи электрической энергии в воздушных линиях электропередачи. Настоящий стандарт устанавливает основные требования к конструкциям и техническим характеристикам проводов, их эксплуатационные свойства и методы испытаний
Приложение №2:
Изменение №1 к ГОСТ 839-2019 Обозначение: Изменение №1 к ГОСТ 839-2019 Дата введения в действие: 01.01.2024
Приложение №3:
Поправка к ГОСТ 839-2019 Обозначение: Поправка к ГОСТ 839-2019 Дата введения в действие: 15.03.2021
Связи и замены
Заменяющий:
-
Взамен:
ГОСТ 839-80
Описание стандарта
ГОСТ 839-2019 Провода неизолированные для воздушных линий электропередачи. Технические условия
Страницы стандарта























































Приложение №1: Изменение к ГОСТ 839-2019. Поправка к изменению Обозначение: Изменение к ГОСТ 839-2019. Поправка к изменению Дата введения в действие: 15.05.2024

Приложение №2: Изменение №1 к ГОСТ 839-2019 Обозначение: Изменение №1 к ГОСТ 839-2019 Дата введения в действие: 01.01.2024

Приложение №2: Изменение №1 к ГОСТ 839-2019 Обозначение: Изменение №1 к ГОСТ 839-2019 Дата введения в действие: 01.01.2024

Приложение №2: Изменение №1 к ГОСТ 839-2019 Обозначение: Изменение №1 к ГОСТ 839-2019 Дата введения в действие: 01.01.2024

Приложение №2: Изменение №1 к ГОСТ 839-2019 Обозначение: Изменение №1 к ГОСТ 839-2019 Дата введения в действие: 01.01.2024

Приложение №2: Изменение №1 к ГОСТ 839-2019 Обозначение: Изменение №1 к ГОСТ 839-2019 Дата введения в действие: 01.01.2024

Приложение №2: Изменение №1 к ГОСТ 839-2019 Обозначение: Изменение №1 к ГОСТ 839-2019 Дата введения в действие: 01.01.2024

Приложение №2: Изменение №1 к ГОСТ 839-2019 Обозначение: Изменение №1 к ГОСТ 839-2019 Дата введения в действие: 01.01.2024

Приложение №2: Изменение №1 к ГОСТ 839-2019 Обозначение: Изменение №1 к ГОСТ 839-2019 Дата введения в действие: 01.01.2024

Приложение №3: Поправка к ГОСТ 839-2019 Обозначение: Поправка к ГОСТ 839-2019 Дата введения в действие: 15.03.2021

Приложение №4: Поправка к ГОСТ 839-2019 Обозначение: Поправка к ГОСТ 839-2019 Дата введения в действие: 15.05.2024

Приложение №5: Поправка к ГОСТ 839-2019 Обозначение: Поправка к ГОСТ 839-2019 Дата введения в действие: 13.05.2025
