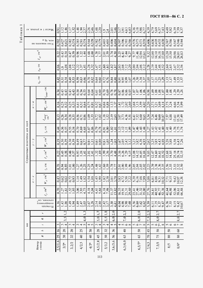
ГОСТ 8510-86 Уголки стальные горячекатаные неравнополочные. Сортамент
ГОСТ
Скачать ГОСТ в PDF или DOC бесплатно
Основная информация
Обозначение:
ГОСТ 8510-86
Статус:
Действует
Тип:
ГОСТ
Название русское:
Уголки стальные горячекатаные неравнополочные. Сортамент
Название английское:
Hot-rolled steel unequal-leg angles. Dimensions
Даты и сроки
Дата издания:
04-01-03
Дата введения в действие:
06-30-87
Дата завершения срока действия:
-
Применение и описание
Область и условия применения:
Настоящий стандарт распространяется на стальные горячекатаные неравнополочные уголки
Связи и замены
Заменяющий:
-
Взамен:
ГОСТ 8510-72
Изменения и переиздания
Список изменений:
№1 от (рег. ) «Срок действия продлен»
Описание стандарта
ГОСТ 8510-86 Уголки стальные горячекатаные неравнополочные. Сортамент
Страницы стандарта




