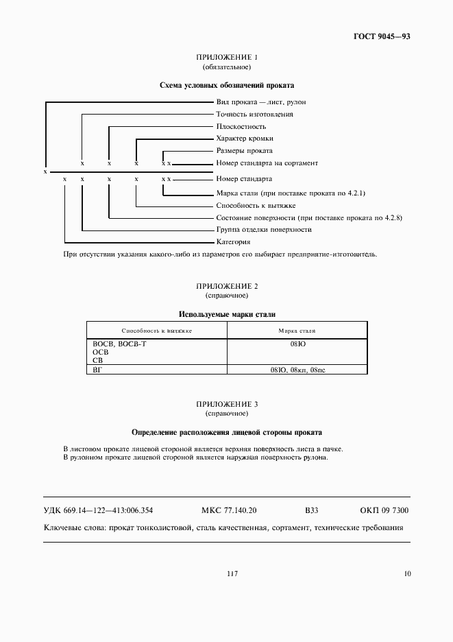
ГОСТ 9045-93 Прокат тонколистовой холоднокатаный из низкоуглеродистой качественной стали для холодной штамповки. Технические условия
ГОСТ
Скачать ГОСТ в PDF или DOC бесплатно
Основная информация
Обозначение:
ГОСТ 9045-93
Статус:
Действует
Тип:
ГОСТ
Название русское:
Прокат тонколистовой холоднокатаный из низкоуглеродистой качественной стали для холодной штамповки. Технические условия
Название английское:
Cold-rolled thin sheets of low-carbon steel for cold stamping. Specifications
Даты и сроки
Дата регистрации:
02-17-93
Дата издания:
01-01-03
Дата введения в действие:
01-01-97
Дата завершения срока действия:
-
Применение и описание
Область и условия применения:
Настоящий стандарт распространяется на тонколистовой холоднокатаный прокат из низкоуглеродистой качественной стали толщиной до 3,9 мм, предназначенный для холодной штамповки
Связи и замены
Заменяющий:
-
Взамен:
ГОСТ 9045-80
Изменения и переиздания
Список изменений:
№1 от (рег. ) «Срок действия продлен»
Описание стандарта
ГОСТ 9045-93 Прокат тонколистовой холоднокатаный из низкоуглеродистой качественной стали для холодной штамповки. Технические условия
Страницы стандарта













Приложение №1: Изменение №1 к ГОСТ 9045-93 Обозначение: Изменение №1 к ГОСТ 9045-93 Дата введения в действие: 01.07.2016
