ГОСТ 9238-2013 Габариты железнодорожного подвижного состава и приближения строений
ГОСТ
Скачать ГОСТ в PDF или DOC бесплатно
Основная информация
Обозначение:
ГОСТ 9238-2013
Статус:
Заменен
Тип:
ГОСТ
Название русское:
Габариты железнодорожного подвижного состава и приближения строений
Название английское:
Construction and rolling stock clearance diagrams
Даты и сроки
Дата регистрации:
11-14-13
Дата издания:
06-25-14
Дата введения в действие:
07-01-14
Дата завершения срока действия:
05-01-24
Применение и описание
Область и условия применения:
Настоящий стандарт устанавливает исходные очертания габаритов железнодорожного подвижного состава и приближения строений железнодорожных путей общего и не общего пользования (ширина колеи 1520 и 1435 мм), а также методы расчета по определению допустимых строительных размеров для габаритов железнодорожного подвижного состава
Связи и замены
Заменяющий:
ГОСТ 9238-2022
Взамен:
ГОСТ 9238-83
Изменения и переиздания
Список изменений:
№0 от (рег. ) «Дата введения перенесена»
Описание стандарта
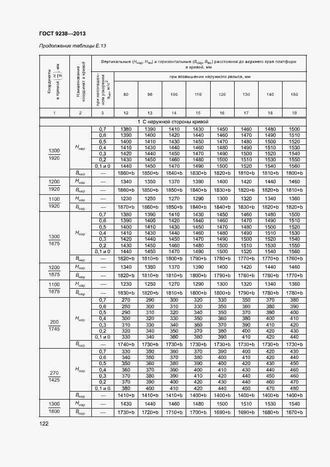
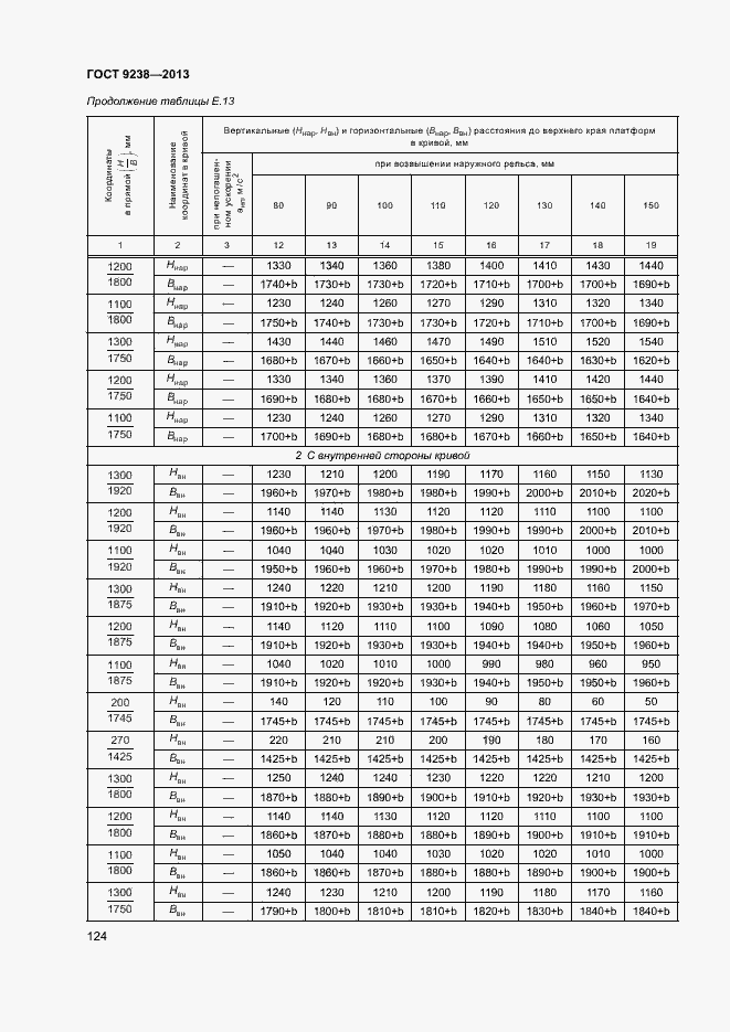
ГОСТ 9238-2013 Габариты железнодорожного подвижного состава и приближения строений
Страницы стандарта


















































































































































































Приложение №1: Поправка к ГОСТ 9238-2013 Обозначение: Поправка к ГОСТ 9238-2013 Дата введения в действие: 06.06.2015

Приложение №2: Поправка к ГОСТ 9238-2013 Обозначение: Поправка к ГОСТ 9238-2013 Дата введения в действие: 19.11.2019
