ГОСТ 949-2023 Баллоны стальные бесшовные на рабочее давление не более 30,0 МПа (305,9 кгс/см2) вместимостью не более 100 л для транспортировки, хранения и использования газов. Технические условия
ГОСТ
Скачать ГОСТ в PDF или DOC бесплатно
Основная информация
Обозначение:
ГОСТ 949-2023
Статус:
Действует
Тип:
ГОСТ
Название русское:
Баллоны стальные бесшовные на рабочее давление не более 30,0 МПа (305,9 кгс/см2) вместимостью не более 100 л для транспортировки, хранения и использования газов. Технические условия
Название английское:
Seamless steel cylinders for working pressure below 30,0 MPa (305,9 kgf/sm2) with capacity not exceeding 100 l for transportation, storage and use of gas. Specifications
Даты и сроки
Дата регистрации:
03-31-23
Дата издания:
11-07-24
Дата введения в действие:
01-01-25
Дата завершения срока действия:
-
Применение и описание
Область и условия применения:
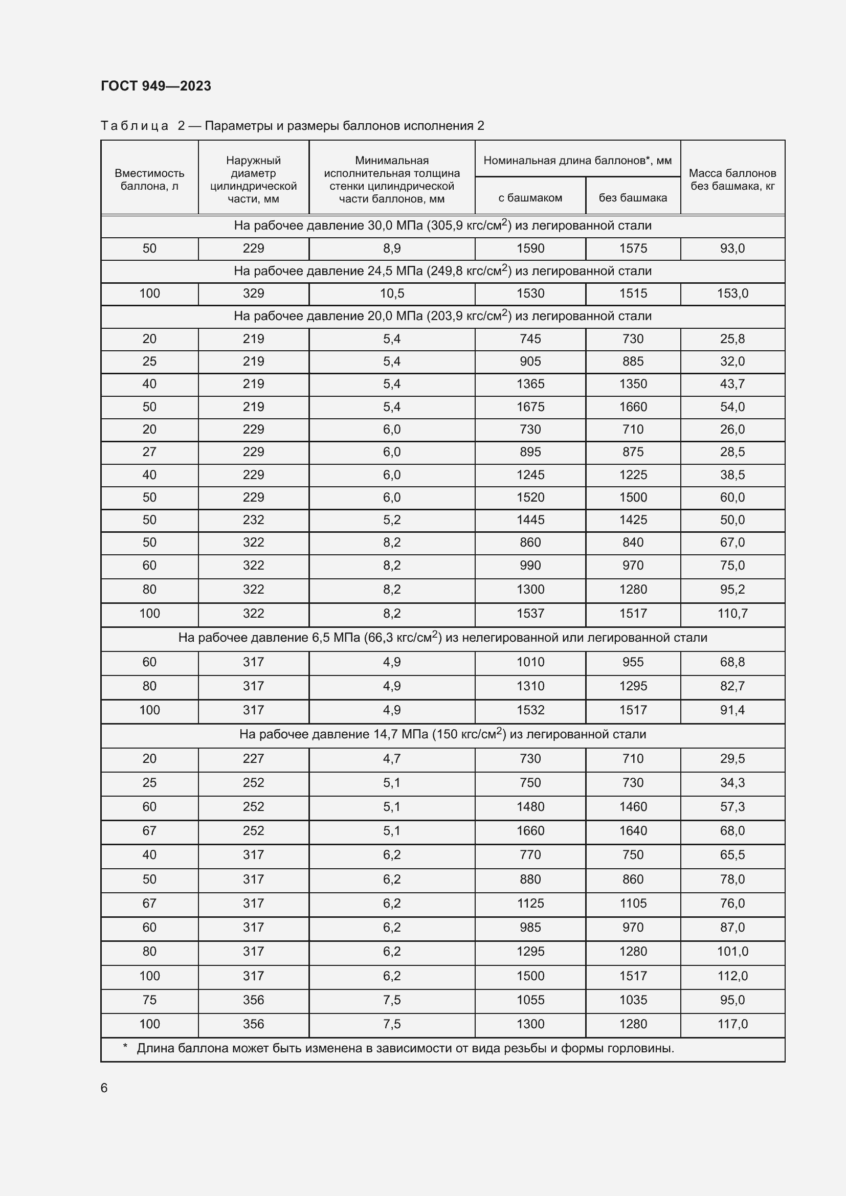
Настоящий стандарт распространяется на бесшовные баллоны многоразового использования на рабочее давление не более 30,0 МПа (305,9 кгс/см2), вместимостью не более 100 л из нелегированных и легированных марок сталей двух исполнений, подвергаемые закалке и отпуску, или нормализации, или нормализации и отпуску, предназначенные для хранения и использования сжатых, сжиженных или растворенных под давлением газов в температурном диапазоне от минус 50 °С до 65 °С. По согласованию изготовителя с заказчиком допускается изготовление баллонов исполнения 2 для таких условий эксплуатации, при которых нижний предел температурного диапазона ниже минус 50 °С. Баллоны не предназначены для хранения и использования газа в качестве моторного топлива на колесных транспортных средствах
Связи и замены
Заменяющий:
-
Взамен:
ГОСТ 949-73
Описание стандарта
ГОСТ 949-2023 Баллоны стальные бесшовные на рабочее давление не более 30,0 МПа (305,9 кгс/см2) вместимостью не более 100 л для транспортировки, хранения и использования газов. Технические условия
Страницы стандарта

















































