ГОСТ CISPR 25-2023 Совместимость технических средств электромагнитная. Транспортные средства, суда и встроенные двигатели внутреннего сгорания. Характеристики радиопомех. Нормы и методы измерений для защиты бортовых приемников
Прочее...
Скачать ГОСТ в PDF или DOC бесплатно
Основная информация
Обозначение:
ГОСТ CISPR 25-2023
Статус:
Действует
Тип:
Прочее...
Название русское:
Совместимость технических средств электромагнитная. Транспортные средства, суда и встроенные двигатели внутреннего сгорания. Характеристики радиопомех. Нормы и методы измерений для защиты бортовых приемников
Название английское:
Electromagnetic compatibility of technical equipment. Vehicles, boats and internal combustion engines. Radio distur- bance characteristics. Limits and methods of measurement for protection of on-board receivers
Даты и сроки
Дата регистрации:
08-31-23
Дата издания:
10-19-23
Дата введения в действие:
10-01-24
Дата завершения срока действия:
-
Применение и описание
Область и условия применения:
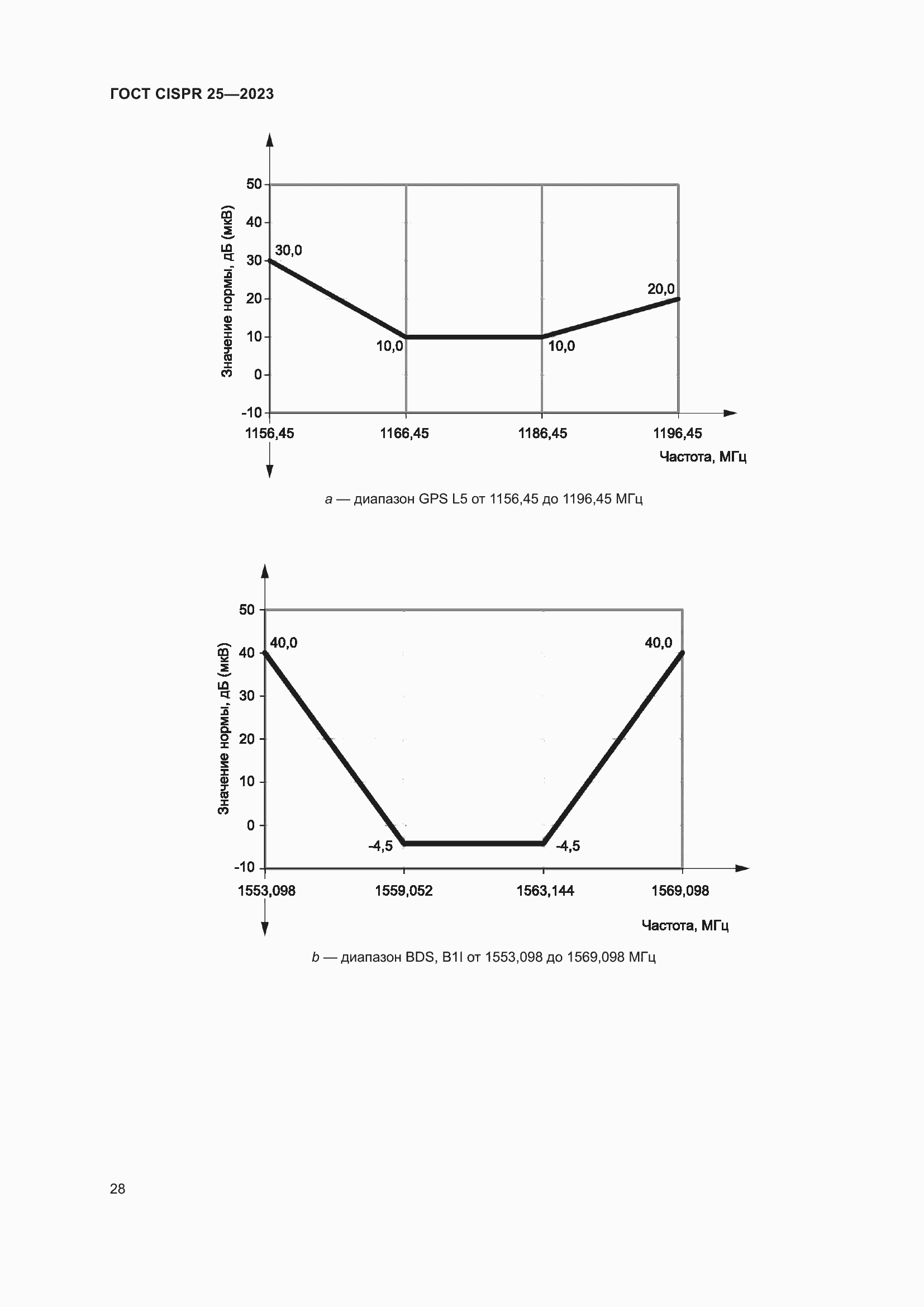
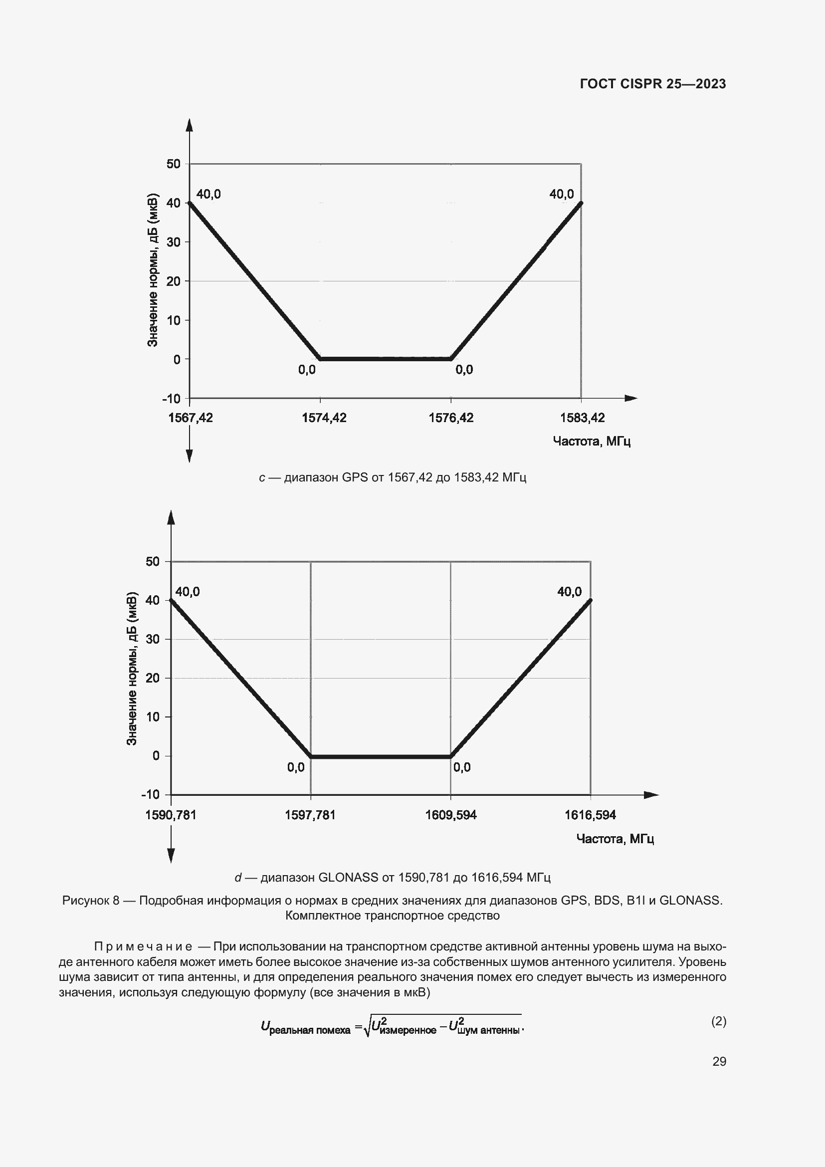
Настоящий стандарт устанавливает нормы и процедуры измерения радиопомех в полосе частот от 150 кГц до 5925 МГц. Стандарт применяют к транспортным средствам, моторным лодкам, двигателям внутреннего сгорания, трейлерам, устройствам и любому электронному/электрическому компоненту, предназначенному для использования в транспортных средствах, лодках, трейлерах и устройствах. Относительно подробной информации о назначении и распределении частот следует обращаться к публикациям Международного Союза электросвязи (ITU). Нормы призваны обеспечить защиту приемников, установленных в транспортном средстве (по указанию производителя), от радиопомех, создаваемых компонентами/модулями в самом транспортном средстве
Связи и замены
Заменяющий:
-
Описание стандарта
ГОСТ CISPR 25-2023 Совместимость технических средств электромагнитная. Транспортные средства, суда и встроенные двигатели внутреннего сгорания. Характеристики радиопомех. Нормы и методы измерений для защиты бортовых приемников
Страницы стандарта





























































































































































