ГОСТ EN 12385-2-2015 Канаты проволочные стальные. Безопасность. Часть 2. Термины и определения, обозначения и классификация
ГОСТ ЕН
Скачать ГОСТ в PDF или DOC бесплатно
Основная информация
Обозначение:
ГОСТ EN 12385-2-2015
Статус:
Действует
Тип:
ГОСТ ЕН
Название русское:
Канаты проволочные стальные. Безопасность. Часть 2. Термины и определения, обозначения и классификация
Название английское:
Steel wire ropes. Safety. Part 2. Definitions, designations and classifications
Даты и сроки
Дата регистрации:
06-18-15
Дата издания:
01-30-24
Дата введения в действие:
06-01-24
Дата завершения срока действия:
-
Применение и описание
Область и условия применения:
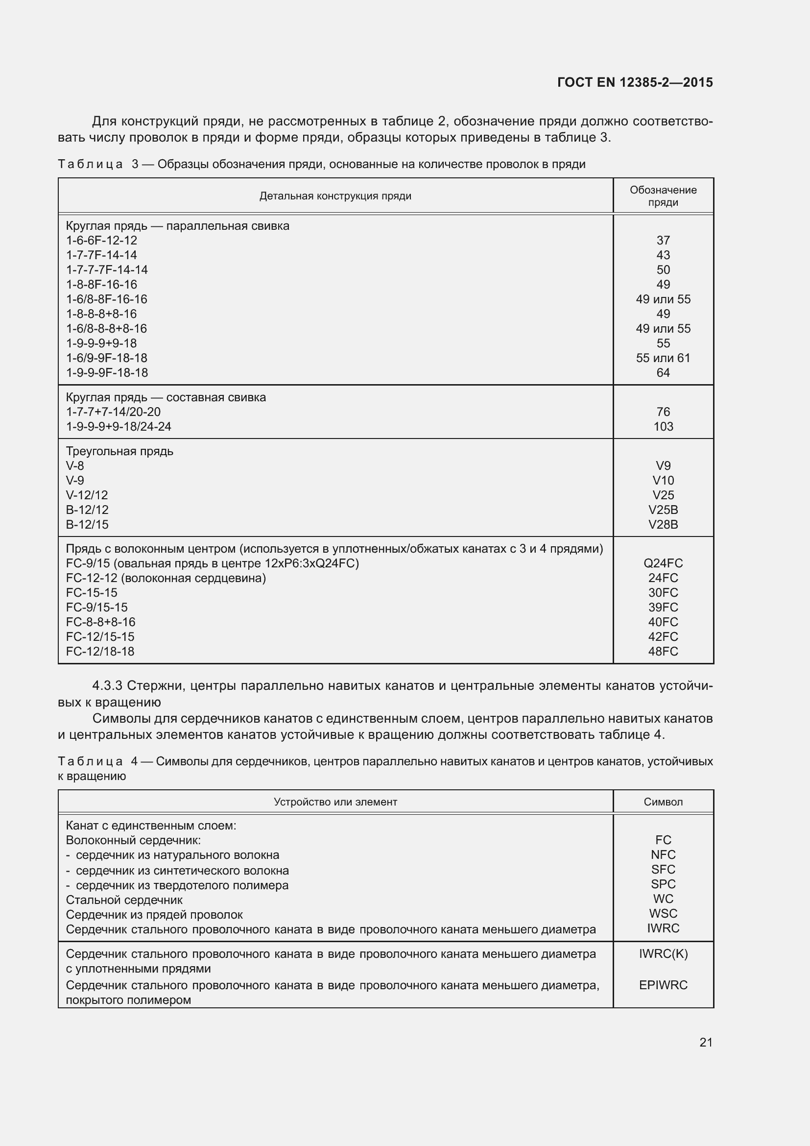
Настоящий стандарт устанавливает термины, обозначения и классификацию стальных проволочных канатов и предназначен для использования совместно со всеми другими частями настоящего стандарта. Настоящий стандарт распространяется на канаты, изготовленные после даты его введения в действие
Связи и замены
Заменяющий:
-
Описание стандарта
ГОСТ EN 12385-2-2015 Канаты проволочные стальные. Безопасность. Часть 2. Термины и определения, обозначения и классификация
Страницы стандарта













































