ГОСТ IEC 60664-1-2023 Координация изоляции для оборудования низковольтных систем питания. Часть 1. Принципы, требования и испытания
ГОСТ МЭК
Скачать ГОСТ в PDF или DOC бесплатно
Основная информация
Обозначение:
ГОСТ IEC 60664-1-2023
Статус:
Действует
Тип:
ГОСТ МЭК
Название русское:
Координация изоляции для оборудования низковольтных систем питания. Часть 1. Принципы, требования и испытания
Название английское:
Insulation coordination for equipment within low-voltage supply systems. Part 1. Principles, requirements and tests
Даты и сроки
Дата регистрации:
06-28-23
Дата издания:
08-13-24
Дата введения в действие:
07-01-25
Дата завершения срока действия:
-
Применение и описание
Область и условия применения:
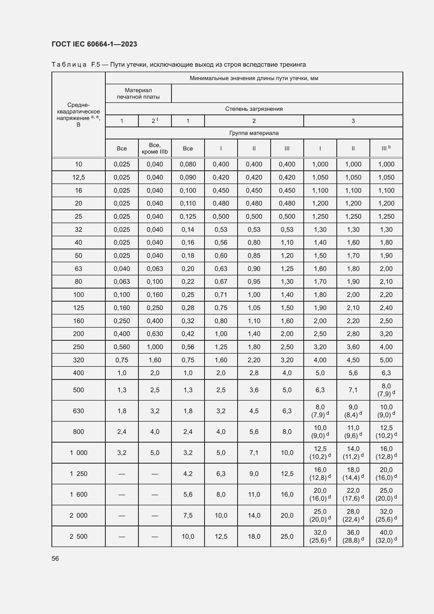
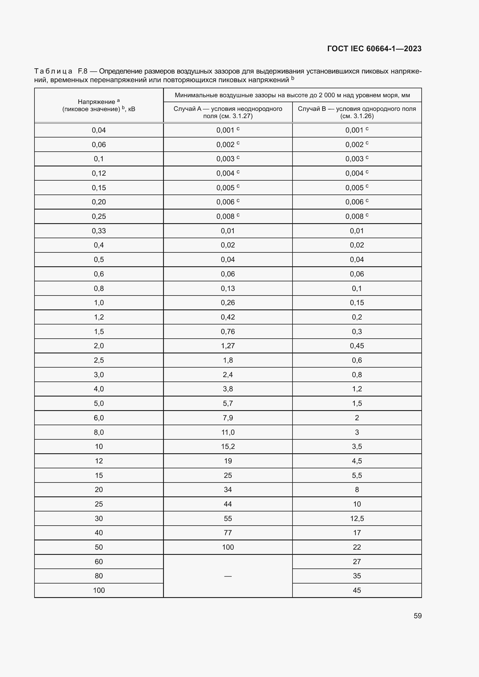
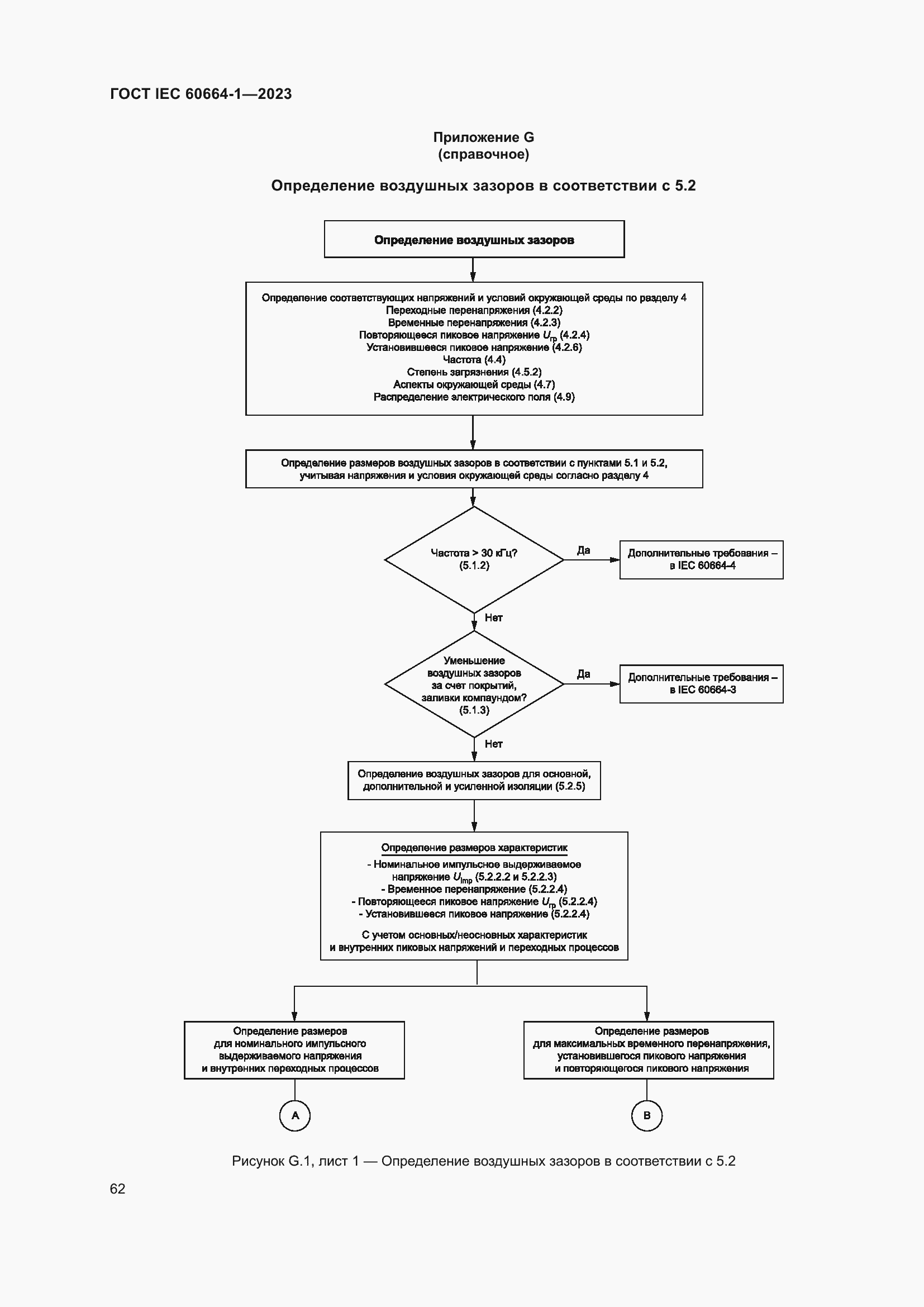
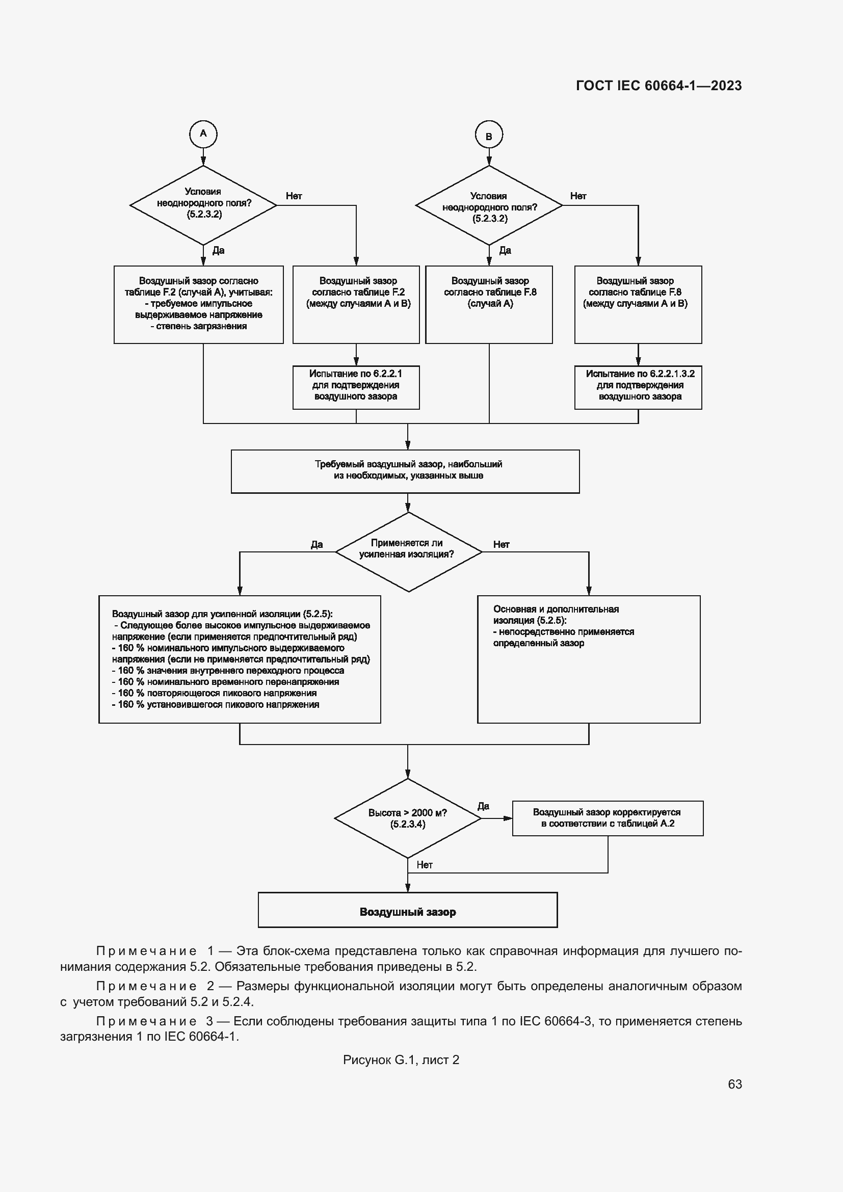
Настоящий стандарт устанавливает требования к координации изоляции для оборудования, подключаемого к низковольтным системам питания и имеющего номинальное напряжение до 1 000 В переменного тока или до 1 500 В постоянного тока включительно. Настоящий стандарт применим для частот до 30 кГц включительно. Стандарт применяется к оборудованию, предназначенному для использования на высоте до 2 000 м над уровнем моря и содержит пояснения при использовании на больших высотах (см. 5.2.3.4). Стандарт содержит требования для технических комитетов по определению воздушных зазоров, путей утечки и критериев для твердой изоляции, в том числе методы электрических испытаний, относящиеся к координации изоляции. Минимальные воздушные зазоры, указанные в настоящем стандарте, не применяются при наличии ионизированных газов. Специальные требования для таких случаев могут указываться на усмотрение соответствующих технических комитетов. Требования данного стандарта не распространяются на воздушные зазоры и пути утечки: - через жидкую изоляцию; - через газообразную среду, иную, чем воздух; - через сжатый воздух. Это основополагающий стандарт по безопасности, в котором особое внимание уделяется основным требованиям безопасности и в первую очередь предназначен для использования техническими комитетами при разработке стандартов в соответствии с принципами, изложенными в IEC Guide 104 и ISO/IEC Guide 51. Одна из задач технического комитета, где это применимо, использовать этот основополагающий стандарт по безопасности при подготовке своих публикаций. Однако в случае отсутствия указания значений воздушных зазоров, путей утечки и требований к твердой изоляции в соответствующих стандартах на продукцию или в случае отсутствия соответствующих стандартов применяется настоящий стандарт
Связи и замены
Заменяющий:
-
Описание стандарта
ГОСТ IEC 60664-1-2023 Координация изоляции для оборудования низковольтных систем питания. Часть 1. Принципы, требования и испытания
Страницы стандарта









































































