ГОСТ IEC 60990-2023 Методы измерения тока прикосновения и тока защитного проводника
ГОСТ МЭК
Скачать ГОСТ в PDF или DOC бесплатно
Основная информация
Обозначение:
ГОСТ IEC 60990-2023
Статус:
Действует
Тип:
ГОСТ МЭК
Название русское:
Методы измерения тока прикосновения и тока защитного проводника
Название английское:
Methods of measurement of touch current and protective conductor current
Даты и сроки
Дата регистрации:
08-31-23
Дата издания:
10-03-23
Дата введения в действие:
01-01-24
Дата завершения срока действия:
-
Применение и описание
Область и условия применения:
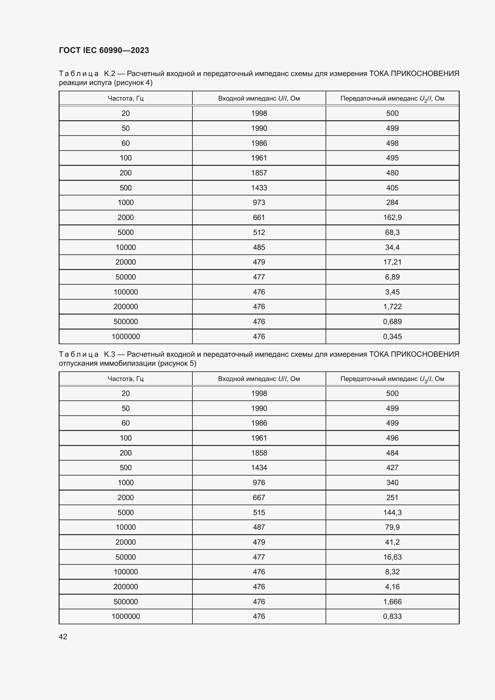
Настоящий стандарт устанавливает методы измерения: - постоянного или переменного тока синусоидальной и несинусоидальной формы, который может протекать через тело человека; - тока, протекающего по защитному проводнику. Методы, рекомендуемые для измерения тока прикосновения, основаны на изучении возможных последствий воздействия тока, протекающего через тело человека. В настоящем стандарте измерение тока, протекающего по цепям, имитирующим комплексное сопротивление тела человека, рассматривают, как измерение тока прикосновения. Указанные схемы необязательно в равной степени применимы в отношении тела животных
Связи и замены
Заменяющий:
-
Описание стандарта
ГОСТ IEC 60990-2023 Методы измерения тока прикосновения и тока защитного проводника
Страницы стандарта

























































