ГОСТы >
29.130.20 Низковольтная коммутационная аппаратура и аппаратура управления >
ГОСТ IEC 62026-3-2015
ГОСТ IEC 62026-3-2015 Аппаратура распределения и управления низковольтная. Интерфейсы между контроллерами и приборами (CDI). Часть 3. Система связи DeviceNET
ГОСТ МЭК
Скачать ГОСТ в PDF или DOC бесплатно
Основная информация
Обозначение:
ГОСТ IEC 62026-3-2015
Статус:
Действует
Тип:
ГОСТ МЭК
Название русское:
Аппаратура распределения и управления низковольтная. Интерфейсы между контроллерами и приборами (CDI). Часть 3. Система связи DeviceNET
Название английское:
Low-voltage switchgear and controlgear. Controller-device interfaces (CDIs). Part 3. DeviceNet
Даты и сроки
Дата регистрации:
02-27-15
Дата издания:
02-20-24
Дата введения в действие:
01-01-25
Дата завершения срока действия:
-
Применение и описание
Область и условия применения:
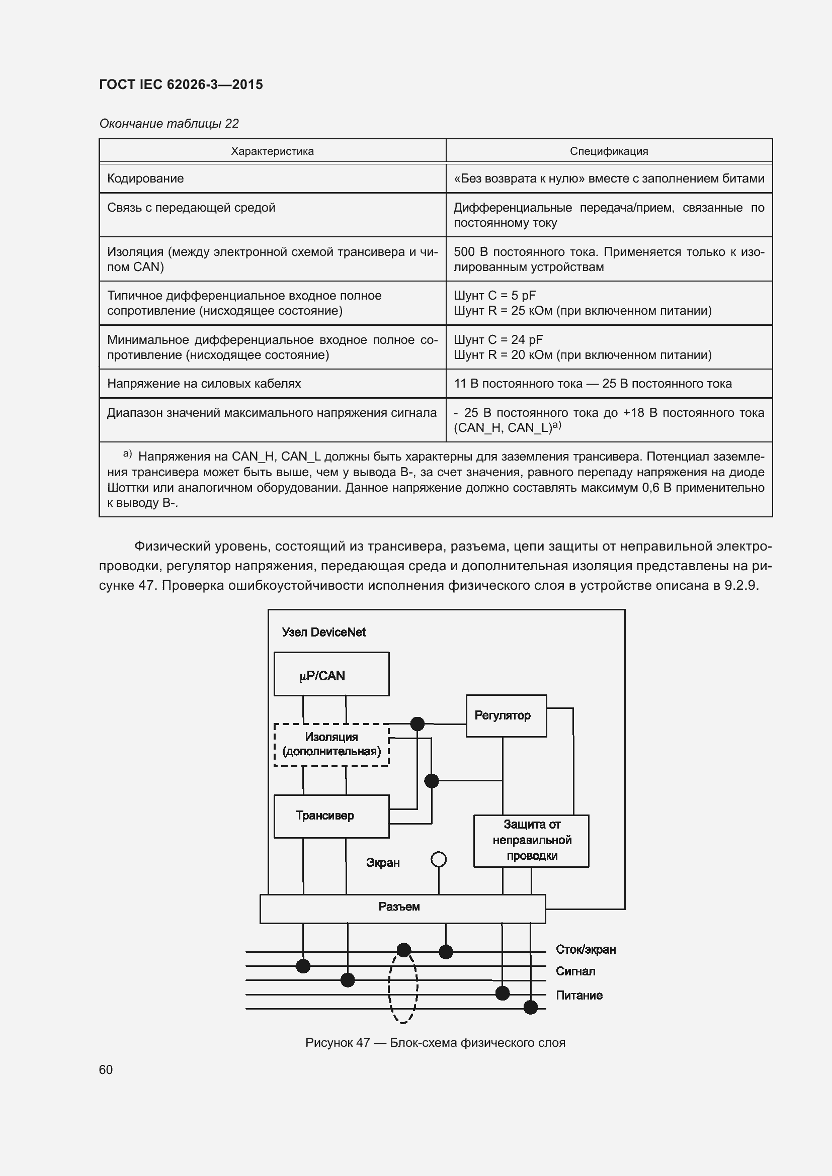
Настоящий стандарт устанавливает требования к системе интерфейсов между единичными или многочисленными контроллерами и аппаратами цепи управления или коммутирующими элементами (далее – DeviceNet). Система интерфейсов использует две витых экранированных пары проводников в одном кабеле. Одна пара проводников поддерживает дифференциальную среду передачи (данных), а другая обеспечивают поддержку питания. Стандарт также определяет возможность замены компонентов, которые имеют схожие интерфейсы
Связи и замены
Заменяющий:
-
Описание стандарта
ГОСТ IEC 62026-3-2015 Аппаратура распределения и управления низковольтная. Интерфейсы между контроллерами и приборами (CDI). Часть 3. Система связи DeviceNET
Страницы стандарта









































































































