ГОСТ IEC 62321-8-2022 Определение регламентированных веществ в электротехнических изделиях. Часть 8. Определение фталатов в полимерах методом газовой хроматографии — масс-спектрометрии и пиролитической газовой хроматографии — масс-спектрометрии с термодесорбцией
ГОСТ МЭК
Скачать ГОСТ в PDF или DOC бесплатно
Основная информация
Обозначение:
ГОСТ IEC 62321-8-2022
Статус:
Действует
Тип:
ГОСТ МЭК
Название русское:
Определение регламентированных веществ в электротехнических изделиях. Часть 8. Определение фталатов в полимерах методом газовой хроматографии — масс-спектрометрии и пиролитической газовой хроматографии — масс-спектрометрии с термодесорбцией
Название английское:
Determination of regulated substances in electrotechnical products. Part 8. Phthalates in polymers by gas chromatography-mass spectrometry and pyrolysis gas chromatography-mass spectrometry using thermal desorption accessory
Даты и сроки
Дата регистрации:
05-16-22
Дата издания:
04-15-24
Дата введения в действие:
07-01-25
Дата завершения срока действия:
-
Применение и описание
Область и условия применения:
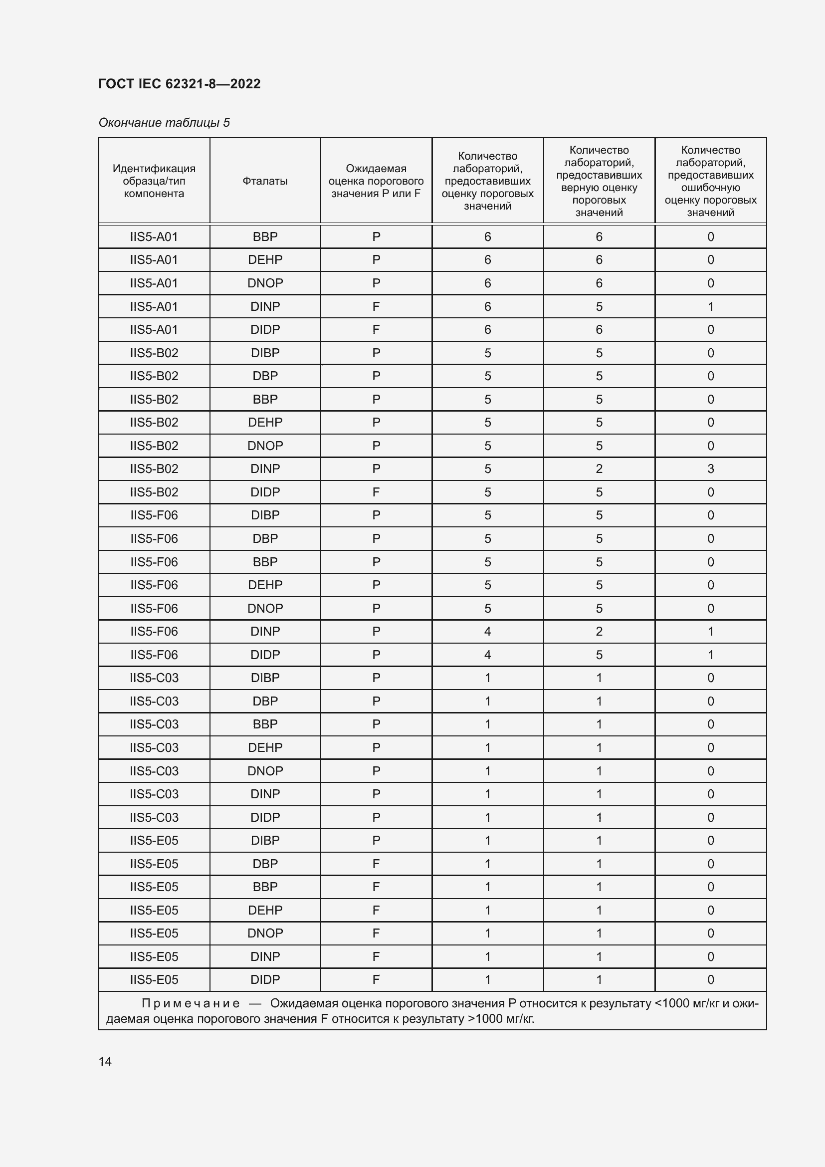
Настоящий стандарт устанавливает два обязательных и два справочных метода определения диизобутилфталатов (DIВР), ди-n-изобутилфталатов (DBP), бензилбутилфталатов (ВВР), ди-(2-этилгексил) фталатов (DЕНP), ди-n-октилфталатов (DNOP), диизононилфталатов (DINP) и диизодецилфталатов (DIDP) в полимерных материалах электротехнических изделий. В настоящем стандарте установлены методы газовой хроматографии — масс-спектрометрии (GC-MS) и пиролитической газовой хроматографии — масс-спектрометрии с термодесорбцией (Py/TD-GC-MS). Метод GC-MS является основным методом количественного определения DIBP, DBP, BBP, DEHP, DNOP, DINP и DIDP в диапазоне от 50 до 2 000 мг/кг. GC-MS в сочетании с пиролизом и термодесорбцией (TD) подходит для скрининга и полуколичественного анализа DIBP, DBP, BBP, DEHP, DNOP, DINP и DIDP в диапазоне от 100 до 2 000 мг/кг в полимерных материалах, которые используются как части электротехнических изделий. Метод масс-спектрометрии с присоединением иона (IAMS) IAMS подходит для скрининга и полуколичественного анализа DIBP, DBP, BBP, DEHP, DNOP, DINP и DIDP. IAMS имеет ограничения по определению таких веществ, как DBP и DIBP, DEHP и DNOP, из-за ограничений пикового и масс-спектрального разрешения. Метод жидкостной хроматографии — масс-спектрометрии (LC-MS) имеет ограничения по определению таких веществ, как BBP, DEHP, DNOP, DINP и DIDP. Определение DBP и DIBP с помощью LC-MS не было установлено из-за ограничений пикового и масс-спектрального разрешения. Блок-схема, наглядно демонстрирующая обязательные методы пиролитической газовой хроматографии — масс-спектрометрии с термодесорбцией (Py/TD-GC-MS) и справочные методы с использованием масс-спектрометрии с присоединением ионов (IAMS) в сочетании с методом прямого ввода пробы (DIP) и жидкостной хроматографией — масс-спектрометрией (LC-MS), приведена в соответствующих приложениях настоящего стандарта. Четыре указанных метода испытаний были оценены путем испытания материалов из полиэтилена (PE) и поливинилхлорида (PVC), содержащих в своем составе фталаты в концентрации приблизительно от 450 до 30 000 мг/кг, как указано в обязательном и справочном методах, приведенных в соответствующих разделах настоящего стандарта. Использование четырех методов для других видов полимеров, определенных фталатов или диапазонов концентраций, отличающихся от тех, что указаны выше, целенаправленно не оценивалось
Связи и замены
Заменяющий:
-
Описание стандарта
ГОСТ IEC 62321-8-2022 Определение регламентированных веществ в электротехнических изделиях. Часть 8. Определение фталатов в полимерах методом газовой хроматографии — масс-спектрометрии и пиролитической газовой хроматографии — масс-спектрометрии с термодесорбцией
Страницы стандарта





































































